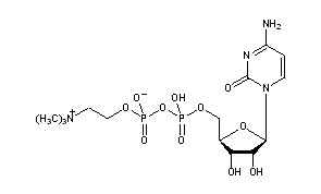
Citicoline
Structural Formula Vector Image
Title: Citicoline
CAS Registry Number: 987-78-0
CAS Name: Cytidine 5¢-(trihydrogen diphosphate) P¢-[2-(trimethylammonio)ethyl] ester inner salt
Additional Names: choline cytidine 5¢-pyrophosphate (ester); cytidine diphosphate choline ester; CDP-choline
Trademarks: Difosfocin (Magis); Nicholin (Wyeth); Recognan (Asahi); Rexort (Hoechst); Somazina (Ferrer)
Molecular Formula: C14H26N4O11P2
Molecular Weight: 488.32
Percent Composition: C 34.43%, H 5.37%, N 11.47%, O 36.04%, P 12.69%
Literature References: Naturally occurring nucleotide; intermediate in the major pathway of lecithin biosynthesis. Identification: E. P. Kennedy, S. B. Weiss, J. Am. Chem. Soc. 77, 250 (1955). Crystallization from yeast extract: I. Lieberman et al., Science 124, 81 (1956). Synthesis: E. P. Kennedy, J. Biol. Chem. 222, 185 (1956); K. Kikugawa et al., Chem. Pharm. Bull. 19, 1011, 2466 (1971). Molecular structure: M. A. Viswamitra et al., Nature 258, 497 (1975). Series of articles on pharmacology and toxicology: Arzneim.-Forsch. 33, 1009-1080 (1983). Acute toxicity: T. Grau et al., ibid. 1033. Clinical trial in ischemic stroke: W. M. Clark et al., Neurology 49, 671 (1997). Review of biosynthesis, metabolism, pharmacology: G. B. Weiss, Life Sci. 56, 637-660 (1995); and clinical experience: J. J. Secades, G. Frontera, Methods Find. Exp. Clin. Pharmacol. 17, Suppl. B, 1-54 (1995).
Properties: Amorphous, somewhat hygroscopic powder. [a]D25 +19.0° (c = 0.86 in H2O). uv max (pH 1): 280 nm (e 12800). Dissolves readily in water to form acidic soln. Practically insol in most organic solvents. pKa 4.4. LD50 in mice, rats (mg/kg): 4600 ±335, 4150 ±370 i.v.; both species 8 g/kg orally (Grau).
pKa: pKa 4.4
Optical Rotation: [a]D25 +19.0° (c = 0.86 in H2O)
Absorption maximum: uv max (pH 1): 280 nm (e 12800)
Toxicity data: LD50 in mice, rats (mg/kg): 4600 ±335, 4150 ±370 i.v.; both species 8 g/kg orally (Grau)
 
Derivative Type: Sodium salt
CAS Registry Number: 33818-15-4
Trademarks: Acticolin (Upsamedica); Brassel (Searle); Ceraxon (Ferrer); Neuroton (Berlin-Chemie); Sintoclar (Pulitzer)
Molecular Formula: C14H25N4NaO11P2
Molecular Weight: 510.31
Percent Composition: C 32.95%, H 4.94%, N 10.98%, Na 4.51%, O 34.49%, P 12.14%
Properties: White, crystalline, spongy, hygrosopic powder, dec 250°. [a]D20 +12.5° (c = 1.0 in H2O). Sol in water. Practically insol in alcohol.
Optical Rotation: [a]D20 +12.5° (c = 1.0 in H2O)
 
Therap-Cat: Neuroprotective. In treatment of ischemic stroke and head trauma.
Keywords: Neuroprotective.

Other Monographs:
Streptomycin B2,2'-ThiodiethanolAlstonineArbutin
LycofawcineFuran2,6-DichlorophenolSpirit of Ammonia, Aromatic
TiratricolTitanium SesquisulfateTerephthalic AcidAllopregnane-3α,20β-diol
Amberlite®1,2-CyclopentenophenanthreneSodium PeroxideBenzyl Fumarate
©2006-2023 DrugFuture->Chemical Index Database