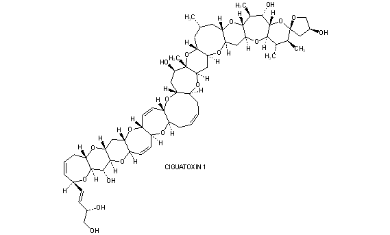
Ciguatoxins
Structural Formula Vector Image
Title: Ciguatoxins
Additional Names: CTX
Literature References: Potent sodium channel activators found in a wide variety of fish, the toxins were ultimately traced to a dinoflagellate Gambierdiscus spp. Family of lipid soluble polyether toxins responsible for ciguatera food poisoning; structural variations are associated with the oceanic region from which the dinoflagellate originates. Isoln from eels: P. J. Scheuer et al., Science 155, 1267 (1967). Purification from dinoflagellate: R. Bagnis et al., Rev. Int. Oceanogr. Med. 45-46, 29 (1977). Structure: M. Murata et al., J. Am. Chem. Soc. 112, 4380 (1990). Purification and characterization of 3 major forms CTX 1-3: R. J. Lewis et al., Toxicon 29, 1115 (1991); absolute configuration: M. Satake et al., J. Am. Chem. Soc. 119, 11325 (1997). Isoln and characterization of Pacific CTX: R. J. Lewis, A. Jones, Toxicon 35, 159 (1997); of Caribbean CTX: J.-P. Vernoux, R. J. Lewis, ibid. 889; of Indian CTX: B. Hamilton et al., ibid. 40, 685 (2002). Effect on sodium channels: J.-N. Bidard et al., J. Biol. Chem. 259, 8353 (1984); E. Benoit et al., Neuroscience 71, 1121 (1996). Review of use as research tool: J. Molgo et al., Methods Neurosci. 8, 149-164 (1992); of mechanism of action: C. Frelin et al., ACS Symp. Ser. 418, 192-199 (1996); of neurobiological actions: C. Mattei et al., J. Soc. Biol. 193, 329-344 (1999).
 
Derivative Type: CTX-1
CAS Registry Number: 11050-21-8
Molecular Formula: C60H86O19
Molecular Weight: 1111.31
Percent Composition: C 64.85%, H 7.80%, O 27.35%
Properties: White solid. LD50 i.p. in mice: 0.25 mg/kg (Lewis 1991).
Toxicity data: LD50 i.p. in mice: 0.25 mg/kg (Lewis 1991)
 
Derivative Type: CTX-2
CAS Registry Number: 142185-85-1
Molecular Formula: C60H86O18
Molecular Weight: 1095.31
Percent Composition: C 65.79%, H 7.91%, O 26.29%
Properties: White amorphous solid. LD50 i.p. in mice: 2.3 mg/kg (Lewis 1991).
Toxicity data: LD50 i.p. in mice: 2.3 mg/kg (Lewis 1991)
 
Derivative Type: CTX-3
CAS Registry Number: 139341-09-6
Molecular Formula: C60H86O18
Molecular Weight: 1095.31
Percent Composition: C 65.79%, H 7.91%, O 26.29%
Literature References: Total synthesis: M. Inoue, M. Hirama, Synlett. 2004, 577.
Properties: White amorphous solid. LD50 i.p. in mice: 0.9 mg/kg (Lewis 1991).
Toxicity data: LD50 i.p. in mice: 0.9 mg/kg (Lewis 1991)

Other Monographs:
PodophyllotoxinVenice TurpentineMelibioseIsoxsuprine
HydrindantinTrifluoroethanol4'-(Methylsulfamoyl)sulfanilanilideArachidonic Acid
LornoxicamPerilla KetoneReviparin SodiumSilicon Nitride
DiflorasoneFantofaroneDiresorcinolDiphemanil Methylsulfate
©2006-2023 DrugFuture->Chemical Index Database