Casimiroedine
Structural Formula Vector Image
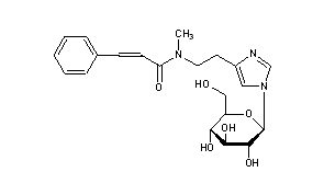
Title: Casimiroedine
CAS Registry Number: 5853-02-1
Additional Names: N-D-Glucoside of N-cinnamoyl-N-methylhistamine
Molecular Formula: C21H27N3O6
Molecular Weight: 417.46
Percent Composition: C 60.42%, H 6.52%, N 10.07%, O 23.00%
Literature References: From fruit, seed and bark of Casimiroa edulis Llave et Lex., Rutaceae: Power, Callan, J. Chem. Soc. 99, 1993 (1911); Aebi, Helv. Chim. Acta 39, 1495 (1956); Kincl et al., J. Chem. Soc. 1956, 4163; Djerassi et al., J. Org. Chem. 21, 1510 (1956). Structure work: Djerassi et al., Tetrahedron 2, 168a (1958); Raman et al., Tetrahedron Lett. 1962, 357.
Properties: Needles from methanol, mp 226-228°. [a]D20 -21.3° (c = 1.21 in 5% HCl); [a]D -33° (aq 1% HCl). uv max (ethanol): 219, 280 nm (log e 4.26, 4.30). Freely sol in dil HCl; dissolves slowly in 2N NaOH or saturated NaHCO3; practically insol in water; sol in hot alc, in amyl alcohol, slightly in benzene, chloroform, ether.
Melting point: mp 226-228°
Optical Rotation: [a]D20 -21.3° (c = 1.21 in 5% HCl); [a]D -33° (aq 1% HCl)
Absorption maximum: uv max (ethanol): 219, 280 nm (log e 4.26, 4.30)
 
 
Status: This monograph has been retired and is no longer subject to revision or update.

Other Monographs:
Glycolic AcidTriphenyltetrazolium ChlorideNucleocidin1,3-Dichloroacetone
ArbutamineDimetridazoleResveratrolHexobarbital
MephenoxaloneSapropterinTrichlorfonStreptomycin
Tetraethylammonium HydroxideHementinSulfasalazineTetrabutylammonium Fluoride
©2006-2023 DrugFuture->Chemical Index Database