Calcium Stearyl-2 Lactylate
Structural Formula Vector Image
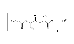
Title: Calcium Stearyl-2 Lactylate
CAS Registry Number: 5793-94-2
CAS Name: Octadecanoic acid 2-(1-carboxyethoxy)-1-methyl-2-oxoethyl ester, calcium salt
Additional Names: stearic acid ester with lactate of lactic acid calcium salt; calcium stelate
Trademarks: Verv-Ca
Molecular Formula: C48H86CaO12
Molecular Weight: 895.27
Percent Composition: C 64.40%, H 9.68%, Ca 4.48%, O 21.45%
Literature References: Use in improving the mixing characteristics of flour: Thompson, Buddemeyer, Cereal Chem. 31, 296 (1954); in improving whipping and baking properties of dried egg whites: Gorman, Keith, US 2919992 (1960 to Seymour Foods). Metabolism: J. C. Phillips et al., Food Cosmet. Toxicol. 19, 7 (1981).
Properties: Free flowing, nonhygroscopic powder. Sparingly sol in water. pH of a 2% aq suspension 4.7.
Use: Dough conditioner in yeast-leavened bakery products; emulsifier in cosmetic and pharmaceutical industry.

Other Monographs:
Phenylmercuric ChlorideDisodium Dihydrogen Hypophosphate2-Naphthol-6-sulfonic AcidOctyl Cyanoacrylate
Phenyl AcetateSulfasomizoleBupranololEpiandrosterone
Cobaltous CarbonateCalcium Magnesium AcetateHexythiazoxTropine Benzylate
Aconitum FeroxHexachlorobutadieneOil of Sweet AlmondBrefeldin A
©2006-2023 DrugFuture->Chemical Index Database