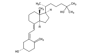
Calcifediol
Structural Formula Vector Image
Title: Calcifediol
CAS Registry Number: 19356-17-3
CAS Name: (3b,5Z,7E)-9,10-Secocholesta-5,7,10(19)-triene-3,25-diol
Additional Names: 25-hydroxyvitamin D3; 25-hydroxycholecalciferol; 25-HCC
Manufacturers' Codes: U-32070E
Trademarks: Dedrogyl (DESMA); Didrogyl (Bruno); Hidroferol (FAES)
Molecular Formula: C27H44O2
Molecular Weight: 400.64
Percent Composition: C 80.94%, H 11.07%, O 7.99%
Literature References: The principal circulating form of vitamin D3, formed in the liver by hydroxylation at C-25: Ponchon, DeLuca, J. Clin. Invest. 48, 1273 (1969). It is the intermediate in the formation of 1a,25-dihydroxycholecalciferol, q.v., the biologically active form of vitamin D3 in the intestine. Identification in rat as an active metabolite of vitamin D3: Lund, DeLuca, J. Lipid Res. 7, 739 (1966); Morii et al., Arch. Biochem. Biophys. 120, 513 (1967). Evaluation of biological activity in comparison with vitamin D3: Blunt et al., Proc. Natl. Acad. Sci. USA 61, 717 (1968); ibid. 1503. Isoln from porcine plasma and establishment of structure: Blunt et al., Biochemistry 7, 3317 (1968). Synthesis: Blunt, DeLuca, ibid. 8, 671 (1969). Review of isoln, identification and synthesis: DeLuca, Am. J. Clin. Nutr. 22, 412 (1969). Review of bioassays: J. G. Haddad Jr., Basic Clin. Nutr. 2, 579-597 (1980).
Properties: uv max (ethanol): 265 nm (e 18000) (Blunt, DeLuca).
Absorption maximum: uv max (ethanol): 265 nm (e 18000) (Blunt, DeLuca)
Therap-Cat: Calcium regulator.
Keywords: Calcium Regulator.

Other Monographs:
N-(p-Methoxyphenyl)-p-phenylenediamineAminochlorthenoxazinBornyl ChlorideLopinavir
Tetraethylammonium BromideNicoclonateEthyl OxalacetateSelectfluor®
OxiracetamPyrogalloltert-Butyl ChloroacetateDeltamethrin
Oil of LemonMoperoneSoybean OilLead Arsenate
©2006-2023 DrugFuture->Chemical Index Database