Butopyronoxyl
Structural Formula Vector Image
Title: Butopyronoxyl
CAS Registry Number: 532-34-3
CAS Name: 3,4-Dihydro-2,2-dimethyl-4-oxo-2H-pyran-6-carboxylic acid butyl ester
Additional Names: butyl 3,4-dihydro-2,2-dimethyl-4-oxo-2H-pyran-6-carboxylate; butyl mesityl oxide oxalate; a,a-dimethyl--carboxydihydro-g-pyrone butyl ester
Trademarks: Indalone
Molecular Formula: C12H18O4
Molecular Weight: 226.27
Percent Composition: C 63.70%, H 8.02%, O 28.28%
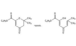
Literature References: Prepd by condensation of mesityl oxide with dibutyl oxalate in the presence of sodium or sodium butoxide: Ford, US 2138540 (1938 to Kilgore Dev.). Exists as the dihydropyrone in equilibrium with the open chain enol form: Hall et al., J. Am. Chem. Soc. 67, 1224 (1945). Toxicity study: J. H. Draize et al., J. Pharmacol. Exp. Ther. 93, 26 (1948).
Properties: Yellow to pale reddish-brown liquid. Aromatic odor. d2525 1.052-1.060. bp760 256-270°. nD25 1.4745-1.4755. Practically insol in water. Misc with alcohol, chloroform, ether, glacial acetic acid. LD50 in mice, rats (ml/kg): 11.6, 7.4 orally (Draize).
Boiling point: bp760 256-270°
Index of refraction: nD25 1.4745-1.4755
Density: d2525 1.052-1.060
Toxicity data: LD50 in mice, rats (ml/kg): 11.6, 7.4 orally (Draize)
CAUTION: Direct contact may be mildly irritating to skin on repeated application. See: Clinical Toxicology of Commercial Products, R. E. Gosselin et al., Eds. (Williams & Wilkins, Baltimore, 5th ed., 1984) Section II, p 345.
Use: Insect repellent.
 
 
Status: This monograph has been retired and is no longer subject to revision or update.

Other Monographs:
Stannic SelenideLipoprotein LipaseBeryllium BromideBoric Anhydride
ChlorphenoxamideOctodrineSodium Borate Solution CompoundLornoxicam
ClothiapinePosaconazoleN,N-Dimethylglycine Hydrazide HydrochloridePhytofluene
Thiamine DiphosphateDiscodermolidePyriproxyfenTrimeprazine
©2006-2023 DrugFuture->Chemical Index Database