Brevetoxins
Structural Formula Vector Image
Title: Brevetoxins
Additional Names: BTX
Literature References: Structurally unique marine neurotoxins produced by the "red-tide" dinoflagellate Ptychodiscus brevis Davis (Karenia brevis, formerly Gymnodinium breve Davis). Dense growths of these algae have been responsible for massive fish kills, mollusk poisoning and human food poisoning in the Gulf of Mexico and along the Florida coast, cf. Marine Natural Products, P. J. Scheuer, Ed. (Academic Press, New York, 1978). Unlike previously isolated dinoflagellate toxins, such as saxitoxin, q.v., which are water-soluble sodium channel blockers, the brevetoxins are lipid-soluble sodium channel activators. Isoln of brevetoxins A, B, and C and structure of B, the major component: Y. Y. Lin et al., J. Am. Chem. Soc. 103, 6773 (1981). Structure of C: J. Golik et al., Tetrahedron Lett. 23, 2535 (1982). Structure of A, the most potent toxin: Y. Shimizu et al., J. Am. Chem. Soc. 108, 514 (1986). Synthetic approaches to brevetoxin B: K. C. Nicolau et al., Chem. Commun. 1985, 1359. Absolute configuration: Y. Shimizu et al., Chem. Commun. 22, 1656 (1987). Biosynthetic study: H. N. Chou, Y. Shimizu, J. Am. Chem. Soc. 109, 2184 (1987). ELISA determn in seawater, shellfish and biological fluids: J. Naar et al., Environ. Health Perspect. 110, 179 (2002). Series of articles on pharmacology of brevetoxins: Toxicon 23, 469-524 (1985); on exposures and health effects of aerosolized toxins: Environ. Health Perspect. 113, 618-657 (2005). Review of chemistry: K. Nakanishi, ibid. 473; of pharmacology, toxicokinetics and determn: M. A. Poli, Recent Adv. Marine Biotechnol. 7, 1-3 (2002). For additional information on red tide algae, see Toxic Dinoflagellate Blooms, D. L. Taylor, H. H. Seliger, Eds. (Elsevier, New York, 1979) pp 327-354.
 
Derivative Type: Brevetoxin A
Additional Names: GB-1
Molecular Formula: C49H70O13
Molecular Weight: 867.07
Percent Composition: C 67.88%, H 8.14%, O 23.99%
Properties: Fine prisms from acetonitrile, mp 197-199°; 218-220° (double melting point). LC100 in guppies: 4 ng/ml (Shimizu).
Melting point: mp 197-199°; 218-220° (double melting point)
Toxicity data: LC100 in guppies: 4 ng/ml (Shimizu)
 
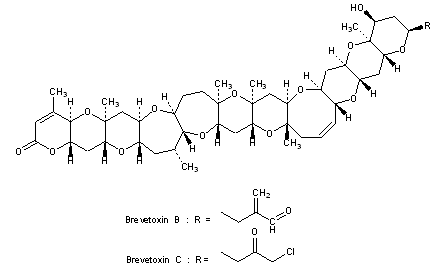
Derivative Type: Brevetoxin B
Additional Names: BTX-B; GB-2
Manufacturers' Codes: T-34; T-47
Molecular Formula: C50H70O14
Molecular Weight: 895.08
Percent Composition: C 67.09%, H 7.88%, O 25.02%
Properties: Needles from acetonitrile, mp 270° (dec). uv max (methanol): 208 nm (e 16000, enal). LC50 (1 hr) in fresh water "zebra" fish, Brachydanio rerio: 16 ng/ml (Lin).
Melting point: mp 270° (dec)
Absorption maximum: uv max (methanol): 208 nm (e 16000, enal)
Toxicity data: LC50 (1 hr) in fresh water "zebra" fish, Brachydanio rerio: 16 ng/ml (Lin)
 
Derivative Type: Brevetoxin C
Additional Names: BTX-C
Molecular Formula: C49H69ClO14
Molecular Weight: 917.52
Percent Composition: C 64.14%, H 7.58%, Cl 3.86%, O 24.41%
Properties: uv max (methanol): 208 nm (e 11300, ene-lactone). LC50 (1 hr) in fresh water "zebra" fish: 30 ng/ml (Lin).
Absorption maximum: uv max (methanol): 208 nm (e 11300, ene-lactone)
Toxicity data: LC50 (1 hr) in fresh water "zebra" fish: 30 ng/ml (Lin)
 
Use: As tools in neurochemical research.

Other Monographs:
SulfadimethoxineHydroxypropyl CelluloseTetracyanoethylenePyronaridine
DalaponMethallenestrilSodium Plumbate(IV)Pseudojervine
N-(2-Chloroethyl)dibenzylamine HydrochlorideMelatoninFenoxedilRhodoquinone
Furoyl ChlorideCaptafolo-Dichlorobenzene3-Pyrroline
©2006-2023 DrugFuture->Chemical Index Database