Allura Red AC
Structural Formula Vector Image
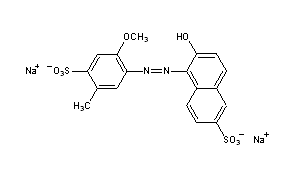
Title: Allura Red AC
CAS Registry Number: 25956-17-6
CAS Name: 6-Hydroxy-5-[(2-methoxy-5-methyl-4-sulfophenyl)azo]-2-naphthalenesulfonic acid disodium salt
Additional Names: 6-hydroxy-5-[(6-methoxy-4-sulfo-m-tolyl)azo]-2-naphthalenesulfonic acid disodium salt; 1-[(6-methoxy-4-sulfo-m-tolyl)azo]-2-naphthol-6-sulfonic acid disodium salt; FD & C Red No. 40; C.I. 16035; C.I. Food Red 17
Molecular Formula: C18H14N2Na2O8S2
Molecular Weight: 496.42
Percent Composition: C 43.55%, H 2.84%, N 5.64%, Na 9.26%, O 25.78%, S 12.92%
Literature References: Prepn: GB 1164249 C.A. 72, 68195j (1970) corresp to Rast, Steiner, US 3519617 (1969, 1970, both to Allied Chem.).
Properties: Dark red powder. Soly at 25°: water, 22.5%; 50% alcohol, 1.3%.
Use: Color additive in foods, drugs and cosmetics.

Other Monographs:
Granisetron1-NaphtholSodium TetraphenylborateEnciprazine
ZoapatanolOleocanthalSodium MethoxideMercuric Dichromate(VI)
LupanineClopamideTetranectinTriethanolamine
Antimony Sodium Gluconate4-Amino-4'-chlorodiphenylCalcium PhosphitePhenarsazine Chloride
©2006-2023 DrugFuture->Chemical Index Database