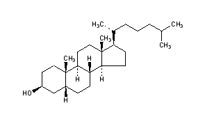
Coprosterol
Structural Formula Vector Image
Title: Coprosterol
CAS Registry Number: 360-68-9
CAS Name: (3b,5b)-Cholestan-3-ol
Additional Names: 3b-coprostanol; stercorin
Molecular Formula: C27H48O
Molecular Weight: 388.67
Percent Composition: C 83.44%, H 12.45%, O 4.12%
Literature References: Found in feces of man and of carnivorous animals: Bondzynski, Humnicki, Z. Physiol. Chem. 22, 396 (1896); Wells et al., Arch. Biochem. Biophys. 57, 437 (1955); Samuel et al., J. Chromatogr. 14, 508 (1964). Prepn from coprostenone: Ruzicka et al., Helv. Chim. Acta 17, 1407 (1934); Shoppee, Summers, J. Chem. Soc. 1950, 687. From coprostenol: Schönheimer, Evans, J. Biol. Chem. 114, 567 (1936); Ruzicka et al., Helv. Chim. Acta 21, 498 (1938); Agashe, Summers, J. Chem. Soc. 1957, 3107; Dart, Henbest, ibid. 1960, 3563. Prepn from cholesterol: Rosenfeld, Gallagher, Steroids 4, 515 (1964).
Properties: Needles from methanol, mp 101°. [a]D18 +28° (c = 1.8 in CHCl3). Freely sol in ether, chloroform, benzene; slightly sol in methanol (one gram dissolves in 145 ml MeOH). Insol in water.
Melting point: mp 101°
Optical Rotation: [a]D18 +28° (c = 1.8 in CHCl3)

Other Monographs:
Carbon DiselenideMepactp-Bromobenzoic Acid1-Fluoro-2,4-dinitrobenzene
TriamtereneBismuth OxalateD-Amino Acid OxidaseAmoscanate
p-Chlorobenzylpseudothiuronium ChlorideBinapacrylChlorbetamideMethadyl Acetate
HalethazoleIohexolGlucametacinSeneciphylline
©2006-2023 DrugFuture->Chemical Index Database