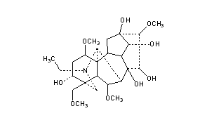
Aconine
Structural Formula Vector Image
Title: Aconine
CAS Registry Number: 509-20-6
CAS Name: (1a,3a,6a,14a,15a,16b)-20-Ethyl-1,6,16-trimethoxy-4-(methoxymethyl)aconitane-3,8,13,14,15-pentol
Molecular Formula: C25H41NO9
Molecular Weight: 499.59
Percent Composition: C 60.10%, H 8.27%, N 2.80%, O 28.82%
Literature References: Obtained by hydrolysis of aconitine: Schulze, Arch. Pharm. 244, 165 (1906); Schneider, Ber. 89, 768 (1956). Structure: Schneider, Tausend, Ann. 628, 114 (1959); McCaldin, Marion, Can. J. Chem. 37, 1071 (1959).
Properties: Amorphous powder, mp 132°. Bitter taste. [a]D +23°. pK 9.52. Absorption spectrum: Nath, J. Indian Chem. Soc. 32, 75 (1955). Very sol in water, alcohol; moderately sol in chloroform; slightly sol in benzene. Practically insol in ether, petr ether.
Melting point: mp 132°
pKa: pK 9.52
Optical Rotation: [a]D +23°
 
Derivative Type: Hydrochloride dihydrate
Molecular Formula: C25H42ClNO9.2H2O
Molecular Weight: 572.09
Percent Composition: C 52.49%, H 8.10%, Cl 6.20%, N 2.45%, O 30.76%
Properties: Crystals, mp 175-176°. [a]D -8°.
Melting point: mp 175-176°
Optical Rotation: [a]D -8°
 
Derivative Type: Hydrobromide sesquihydrate
Molecular Formula: C25H42BrNO9.1½H2O
Molecular Weight: 589.51
Percent Composition: C 50.94%, H 7.35%, Br 13.55%, N 2.38%, O 25.78%
Properties: Crystals from water, mp 225°.
Melting point: mp 225°

Other Monographs:
MethyprylonNocardicin(s)TebuthiuronPellotine
Roxatidine AcetateDiethylpropion2-Deoxystreptamine9-Dicyanomethylene-2,4,7-trinitrofluorene
AcyclovirPhethenylate SodiumErgocryptinineBismuth Butylthiolaurate
Thiokol®Metachrome YellowSulfaloxic AcidCeronapril
©2006-2023 DrugFuture->Chemical Index Database