【药物名称】Mirtazapine, Azamianserin, Org-3770, Remeron SolTab, Zispin, Remergil, Remeron, Remergon
化学结构式(Chemical Structure):
参考文献No.46542
标题:Tetracyclic compounds
作者:Van der Burg, W.J. (Akzo Nobel N.V.)
来源:BE 0840362; CH 622261; DE 2614406; DK 142498; ES 446634; FR 2305986; GB 1543171; JP 76122099; NL 754075
合成路线图解说明:

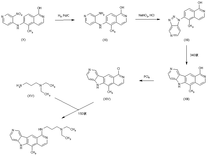
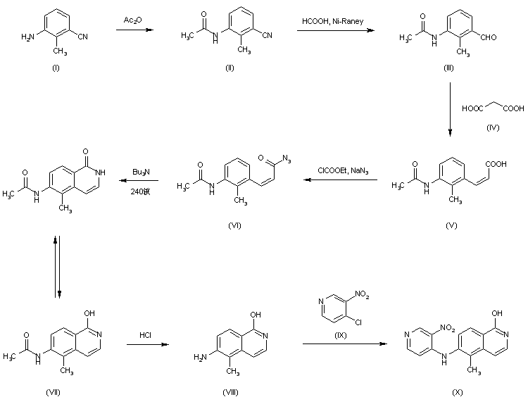
The acetylation of 2-methyl-3-aminobenzonitrile (I) with acetic anhydride in refluxing acetic acid gives 2-methyl-3-acetylaminobenzonitrile (II), which is reduced with Raney-Ni in refluxing 50% formic acid yielding 2-methyl-3-acetylaminobenzaldehyde (III). The condensation of (III) with malonic acid (IV) by means of piperidine in pyridine affords 2-methyl-3-acetylaminocinn acid (V), which is converted to the corresponding azide (VI) by reaction with ethyl chloroformate and sodium azide by means of triethylamine in acetone. The cyclization of (VI) by heating at 240 C in diphenyl ether gives 1-hydroxy-5-methyl-6-acetylaminoisoquinoline (VII), which is hydrolyzed with HCl in refluxing ethanol to 1-hydroxy-5-methyl-6-aminoisoquinoline (VIII). The condensation of (VIII) with 4-chloro-3-nitropyridine (IX) in DMF affords 1-hydroxy-5-methyl-6-[(3-nitro-4-pyridyl)amino]isoquinoline (X).

合成路线图解说明:

Compound (X) is reduced with H2 over Pd/C in acetic acid to 1-hydroxy-5-methyl-6-[(3-amino-4-pyridyl)amino]isoquinolin (Xl). The treatment of (XI) with NaNO2 in acetic acid yields 1-(1-hydroxy-5-methyl-6-isoquinolyl)triazolo[4,5-c]pyridine (XII), which is converted into 1-hydroxy-5-methyldipyrido[4,3-b][3,4-f]indole (XIII). The reaction of (XIII) with PCl5 in refluxing POCl3 gives 1-chloro-5-methyldipyrido[4,3-b][3,4-f]indole (XIV), which is finally condensed with 3-(diethylamino)propylamine (XV) by heating at 150 C.

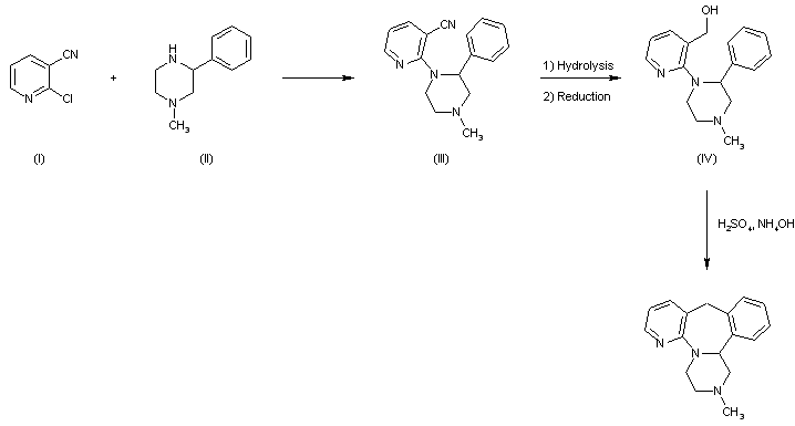
合成路线图解说明:

Reaction of 2-chloronicotinonitrile (I) with 1-methyl-3-phenylpiperazine (II) gives 2-(4-methyl-2-phenyl-1-piperazinyl)-3-pyridinecarbonitrile (III), which is hydrolyzed to the carboxylic acid, which is reducted to the hydroxymethyl derivative (IV). Cyclization of (IV) in concentrated sulfuric acid at 20-35 C gives the title compound after 2 h and treatment with ammonia.

参考文献No.75172
标题:Azamianserin
作者:Koch, H.
来源:Drugs Fut 1985,10(12),965
合成路线图解说明:

Reaction of 2-chloronicotinonitrile (I) with 1-methyl-3-phenylpiperazine (II) gives 2-(4-methyl-2-phenyl-1-piperazinyl)-3-pyridinecarbonitrile (III), which is hydrolyzed to the carboxylic acid, which is reducted to the hydroxymethyl derivative (IV). Cyclization of (IV) in concentrated sulfuric acid at 20-35 C gives the title compound after 2 h and treatment with ammonia.

参考文献No.96897
标题:The synthesis of ORG 3770 labelled with 3H, 13C and 14C
作者:Wieringa, J.H.; Kaspersen, F.M.; van Rooij, F.A.M.; Sperling, E.G.M.
来源:J Label Compd Radiopharm 1989,27(9),1055
合成路线图解说明:

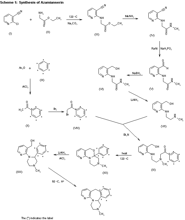
Two new syntheses of labeled azamianserin have been described: 1) [13C]-Labeled: The reaction of 2-chloropyridine-3-carbonitrile (I) with glycine ethyl ester (II) by means of Na2CO3 in DMSO gives N-(3-cyanopyridin-2-yl)glycine ethyl ester (III), which by reaction with methylamine in toluene is converted into the corresponding amide (IV). The treatment of (IV) with sodium hypophosphite and RaNi in water-acetic acid-pyridine affords N-(3-formylpyridin-2-yl)glycine methylamide (V), which is reduced with NaBH4 in methanol to the corresponding alcohol (VI). Further reduction of (VI) with LiAlH4 in refluxing dioxane gives 2-[2-(methylamino)ethylamino]-3-pyridinemethanol (VII), which is condensed with [13C]-labeled alpha-bromoacetophenone (VIII) [prepared from labeled benzene (IX) submitted to a Friedel-Crafts condensation with AlCl3 and acetic anhydride to acetophenone (X) and bromination with Br2 in ether] by means of triethylamine in dioxane to afford the substituted acetophenone (XI). The cyclization of (XI) by heating at 120 C yields the tricyclic compound (XII), which is reduced with LiAlH4 - AlCl3 in ethyl ether to give 2-(4-methyl-2-phenylpiperazin-1-yl)pyridine-3-methanol (XIII). Finally, this compound is cyclized in hot H2SO4.

合成路线图解说明:

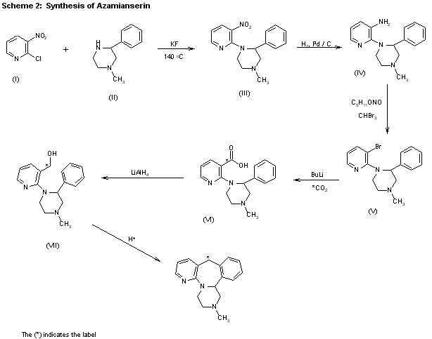
2) [14C]-Labeled: The condensation of 2-chloro-3-nitropyridine (I) with 1-methyl-3-phenylpiperazine (II) by means of KF at 140 C in DMF gives 4-methyl-1-(3-nitropyridin-2-yl)-2-phenylpiperazine (III), which is reduced with H2 over Pd/C in ethanol to the amine (IV). The reaction of (IV) with pentyl nitrite and bromoform at 100 C yields 1-(3-bromopyridin-2-yl)-4-methyl-2-phenylpiperazine (V), which by reaction with butyllithium and [14C]-labeled CO2 in ether is converted into 2-(4-methyl-2-phenylpiperazin-1-yl)pyridine-3-carboxylic acid (VI). The reduction of (VI) with LiAlH4 in hot THF affords the corresponding alcohol (VII), which is finally cyclized in hot H2SO4.

Drug Information Express,Drug R&D,Chemical Database,Patent Search.
Copyright © 2006-2026 Drug Future. All rights reserved.Contact Us