【药物名称】OSW-1
化学结构式(Chemical Structure):
参考文献No.616407
标题:A new strategy for the stereoselective introduction of steroid side chain via alpha-alkoxy vinyl cuprates: Total synthesis of a highly potent antitumor natural product OSW-1
作者:Yu, W.; Jin, Z.
来源:J Am Chem Soc 2001,123(14),3369
合成路线图解说明:

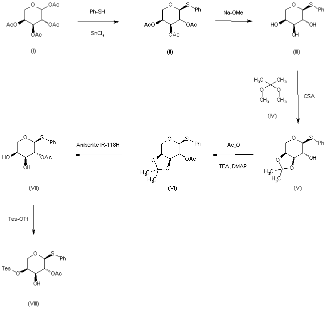
Synthesis of intermediate monosaccharide (VIII): The reaction of the tetraacetyl-L-arabinose (I) with Ph-SH and SnCl4 gives the thioglycoside (II), which is deacetylated with NaOMe in methanol, yielding compound (III). The reaction of (III) with 2,2-dimethoxypropane (IV) and CSA in dichloromethane affords the acetonide (V), which is acetylated with Ac2O, DMAP and TEA to provide the acetate (VI). Elimination of the acetonide group of (VI) with Amberlite IR-118B furnishes diol (VII), which is selectively silylated with Tes-OTf and lutidine in dichloromethane to afford the desired intermediate monosaccharide (VIII).

合成路线图解说明:

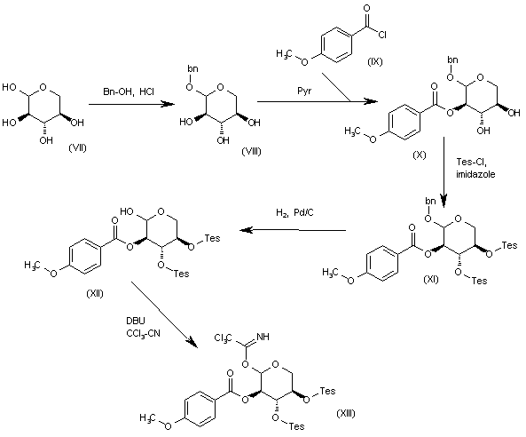
Synthesis of intermediate monosaccharide (XVIII): The reaction of tetraacetyl-D-xylose (IX) with HBr in HOAc gives the bromoglycoside (X), which by reaction with ethylmercaptane and lutidine yields the thio orthoester (XI). Hydrolysis of (XI) with NaOMe in methanol affords the deacetylated compound (XII), which is protected with Pmb-Cl and NaH to provide the diether (XIII). The cleavage of the cyclic thio orthoester with ZnCl2 in dichloromethane gives the 2-O-acetyl-thioglycoside (XIV), which is hydrolyzed with NaOMe in methanol to yield the alcohol (XV). Esterification of (XV) with 4-methoxybenzoyl chloride (XVI), DMAP and TEA affords the benzoate ester (XVII), which is finally converted into the target acetimidate (XVIII) by reaction with NBS in dichloromethane/water, and then with trichloroacetonitrile and DBU in the same solvent.

合成路线图解说明:

Synthesis of intermediate disaccharide (XX): The condensation of intermediate monosaccharide (VIII) with intermediate acetimidate (XVIII) by means of BF3/Et2O gives the disaccharide (XIX), which is converted into the desired acetimidate (XX) by reaction with NBS and trichloroacetonitrile and DBU in dichloromethane/water.

合成路线图解说明:

Synthesis of the intermediate vinyl cuprate (XXV): The reaction of cyclohexyloxyacetylene (XXI) with iso-butyl triflate (XXII) by means of BuLi gives the adduct (XXIII), which is brominated with Tms-Br, yielding the vinyl bromide (XXIV). Finally, this compound is treated with CuCN, LiCl and tBuLi in THF to afford the desired vinyl cuprate intermediate (XXV).

合成路线图解说明:

Synthesis of the cholestane aglycon (XXXVI): The protection of the OH group of dehydroisoandrosterone (XXVI) with Tbdms-Cl and imidazole gives the silyl ether (XXVII), which is condensed with ethyl triphenylphosphonium bromide (XXVIII) and potassium tert-butoxide in refluxing THF to yield the ethylidene compound (XXIX). The hydroxylation of (XXIX) with SeO2 and TBHP affords the 16alpha-hydroxy compound (XXX), which by a Swern oxidation is converted into the ketone (XXXI). The condensation of (XXXI) with the intermediate cuprate (XXV) provides the adduct (XXXII), which is treated with ethyleneglycol (XXXIII) and PPTS to give the spiroketal (XXXIV). The oxidative cleavage of the enol acetate of (XXXIV) with tBu-OK and Davis reagent yields the alpha-hydroxyketone (XXXV), which is finally reduced with LiAlH4 to afford the desired cholestane aglycon (XXXVI).

合成路线图解说明:

Final assembly of the target compound: The condensation of the intermediate aglycon (XXXVI) with the intermediate disaccharide (XX) by means of Tms-OTf in dichloromethane gives the protected adduct (XXXVII), which is finally treated first with DDQ and then with Pd(MeCN)2Cl2 in acetone/water to obtain the target saponin, OSW-1.

参考文献No.635431
标题:First total synthesis of an exceptionally potent antitumor saponin, OSW-1
作者:Deng, S.; Yu, B.; Lou, Y.; Hui, Y.
来源:J Org Chem 1999,64(1),202
合成路线图解说明:

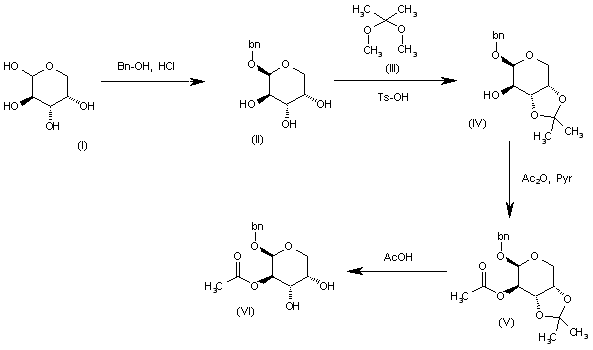
Synthesis of intermediate monosaccharide (VI): The reaction of L-arabinose (I) with benzyl alcohol and HCl (gas) gives 1-O-benzyl-L-arabinose (II), which is treated with 2,2-dimethoxypropane (III) and TsOH to yield the 3,4-O-isopropylidene derivative (IV). The selective acetylation of (IV) with Ac2O and pyridine affords the 2-O-acetyl derivative (V), which is finally treated with HOAc in hot water to provide the intermediate 2-O-acetyl-1-O-benzyl-L-arabinose (VI).

合成路线图解说明:

Synthesis of intermediate monosaccharide (XIII): The reaction of D-xylose (VII) with benzyl alcohol and HCl (gas) gives the 1-O-benzyl-D-xylose (VIII), which is regioselectively acylated with 4-methoxybenzoyl chloride (IX) and pyridine to yield 1-O-benzyl-2-O-(4-methoxybenzoyl)-D-xylose (X). The silylation of (X) with Tes-Cl and imidazole in DMF affords the disilylated compound (XI), which is debenzylated by hydrogenation with H2 over Pd/C in ethyl acetate to provide 2-O-(4-methoxybenzoyl)-3,4-O-bis(triethylsilyl)-D-xylose (XII). Finally, this compound is converted into the target trichloroacetimidate (XIII) by reaction with trichloroacetonitrile and DBU in dichloromethane.

合成路线图解说明:

Synthesis of intermediate disaccharide (XVII): The regioselective glycosylation of intermediate arabinose derivative (VI) with the intermediate acetimidate (XIII) by means of BF3/Et2O gives the disaccharide (XIV), which is silylated with Tes-OTf and lutidine in dichloromethane to yield the fully protected disaccharide (XV). Elimination of the benzyl protecting group of (XV) by hydrogenation with H2 over Pd/C in hot ethyl acetate affords the hemiacetal (XVI), which is converted into the target trichloroacetimidate (XVII) by reaction with trichloroacetonitrile and DBU in dichloromethane.

合成路线图解说明:

Synthesis of the cholestane aglycone (XXXII): The condensation of the commercial dehydroisoandrosterone (XVIII) with ethyl triphenylphosphonium bromide (XIX) and potassium tert-butoxide in refluxing THF gives the ethylidene derivative (XX), which is silylated at the 3-OH group with Tbdps-Cl and imidazole to yield the silyl ether (XXI). The reaction of (XXI) with paraformaldehyde in the presence of catalytic BF3/Et2O affords the desired homoallylic alcohol (XXII) stereoselectively. Oxidation of alcohol (XXII) with DMP in dichloromethane provides the corresponding aldehyde (XXIII), which when treated with the Grignard reagent (XXIV) of the 1-bromo-3-methyl butane in ether furnishes the adduct (XXV). The oxidation of the secondary alcohol of (XXV) with PDC in DMF/dichloromethane gives the expected ketone (XXVI), which is protected as the spiroketal (XXVIII) by reaction with ethyleneglycol (XXVII), TsOH and triethyl orthoformate. The Tbdps protecting group of (XXVIII) was now converted into the Tbdms group by desilylation with TBAF and resilylation with Tbdms-Cl and imidazole to give (XXIX). The oxidation of (XXIX) with OsO4 and pyridine in ether yields the 16alpha,17alpha-diol (XXX), which is oxidized with oxalyl chloride to afford the ketone (XXXI). The reduction of (XXXI) with NaBH4 and CeCl3 in THF provides the target 16beta,17alpha-diol (XXXII).

合成路线图解说明:

Final assembly of the target compound: The condensation of the intermediate aglycon (XXXII) with the intermediate disaccharide (XVII) by means of Tms-OTf in dichloromethane gives the protected adduct (XXXIII), which is finally treated with Pd(MeCN)2Cl2 in acetone/water to obtain the target saponin, OSW-1.

参考文献No.702192
标题:Total synthesis of the anticancer natural product OSW-1
作者:Yu, W.; Jin, Z.
来源:J Am Chem Soc 2002,124(23),6576
合成路线图解说明:

. L- Arabinose monosaccharide intermediate (VIII): The reaction of tetraacetyl-L-arabinose (I) with Ph-SH by means of SnCl4 in dichloromethane gives the acetylated thioglycoside (II), which is deacetylated by means of NaOMe in methanol to yield thioglycoside (III). The reaction of (III) with 2,2-dimethoxypropane (IV) and CSA in dichloromethane affords the acetonide (V), which is acetylated with Ac2O, TEA and DMAP to provide monoacetate (VI). The cleavage of the acetonide group of (VI) by means of Amberlite IR-118H leads to the monoacetylated thioglycoside (VII), which is finally selectively monosilylated with Tms-OTf and lutidine in dichloromethane the target L-arabinose intermediate (VIII)

合成路线图解说明:

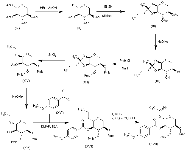
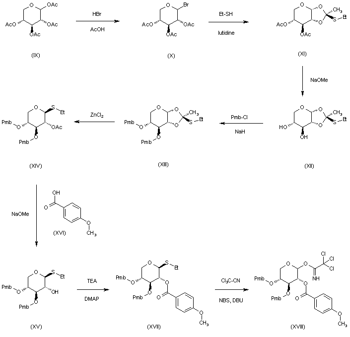
D-xylose trichloroacetimidate intermediate (XVIII): The reaction of tetraacetyl-D-xylose (IX) with HBr/AcOH n dichloromethane gives the glycosyl bromide (X), which is treated with Et-SH and lutidine in nitromethane to yield the thio orthoester (XI). The deacetylation of (XI) by means of NaOMe in methanol affords dihydroxy compound (XII), whose OH groups are protected by means of Pmb-Cl and NaH to provide the bis 4-methoxybenzyl ether compound (XIII). ZnCl2 promoted ring opening of the thio orthoester group of (XIII) leads to the thioglycoside (XIV), which is deacetylated by means of NaOMe in methanol to give compound (XV). The acylation of the free OH group of (XV) with 4-methoxybenzoyl chloride (XVI), TEA and DMAP in dichloromethane yields the benzoate ester (XVII), which is finally converted into the target D-xylose trichloroacetimidate (XVIII) by reaction with NBS, Cl3C-CN and DBU in dichloromethane

合成路线图解说明:

Intermediate beta-disaccharide trichloroacetimidate (XX): The glycosylation of intermediate (VIII) with intermediate (XVIII) by means of BF3/Et2O in dichloromethane gives the beta-disaccharide (XIX), which is converted into the target trichloroacetimidate (XX) by reaction with NBS, Cl3C-CN and DBU in dichloromethane

合成路线图解说明:

Alpha-(cyclohexloxy)vinyl bromide (XXIV): The reaction of (cyclohexyloxy)acetylene (XXI) with isobutyl triflate (XXII) by means of BuLi gives 1-(cyclohexyloxy)-4-methyl-1-pentyne (XXIII), which is then brominated to the target vinyl bromide (XXIV) by means of Tms-Br in methanol

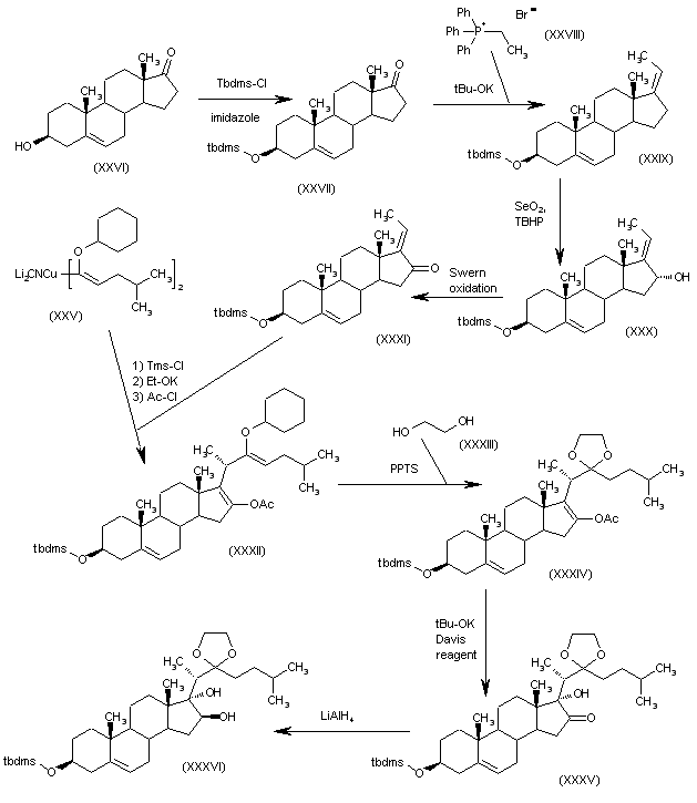
合成路线图解说明:

Synthesis of the target cholestane glycoside. The reaction of 3-beta-hydroxy-5-androsten-17-one (XXV) with Tbdms-Cl gives the silyl ether (XXVI), which is condensed with phosphorane (XXVII), yielding the ethylidene derivative (XXVIII). The oxidation of (XXVIII) by means of SeO2 and tert-butyl hydroperoxide affords the alcohol (XXIX), which is submitted to a Swern oxidation to provide the enone (XXX). The condensation of (XXX) with the intermediate vinyl bromide (XXIV) by means of CuCN, LiCl and Tms-Cl gives the non isolated intermediate (XXXI), which is treated with acetyl chloride to yield the enol acetate (XXXII). The reaction of (XXXII) with ethyleneglycol and PPTS in dichloromethane affords the ethylene ketal (XXXIII), which is submitted to a stereoselective oxidation with Davis reagent and t-BuOK to provide the hydroxy ketone (XXXIV). The stereoselective reduction of (XXXIV) by means of LiAlH4 in dichloromethane leads to the dihydroxy compound (XXXV).

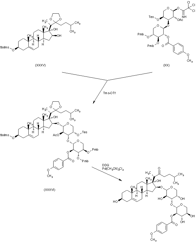
合成路线图解说明:

Coupling of the steroid aglycon (XXXV) with the intermediate disaccharide (XX) by means of Tms-OTf in dichloromethane gives the glycoside (XXXVI), which is finally deprotected by reaction sequentially with DDQ and with Pd(CH3CN)2Cl2 to yield the target cholestane glycoside

Drug Information Express,Drug R&D,Chemical Database,Patent Search.
Copyright © 2006-2026 Drug Future. All rights reserved.Contact Us