【药物名称】Etoposide phosphate disodium salt, BMY-40481(free acid), BMY-40481-30, Etopophos
化学结构式(Chemical Structure):
参考文献No.10058
标题:Epipodophyllotoxinglucoside-4'phosphate derivs
作者:Saulnier, M.G.; Senter, P.D.; Kadow, J.F. (Bristol-Myers Squibb Co.)
来源:AU 8820306; BE 1002982; CH 676716; DE 3826562; FR 2622193; GB 2207674; US 4904768
合成路线图解说明:

By reaction of etoposide (I) with POCl3 and diisopropylethylamine in acetonitrile, followed by hydrolysis with aqueous NaHCO3.

参考文献No.26873
标题:Process of preparing etoposide phosphate and etoposide
作者:Silverberg, L.J.; Vemishetti, P.; Dillon, J.L. Jr.; Usher, J.J. (Bristol-Myers Squibb Co.)
来源:EP 0652226; JP 1995196680; JP 1998152499; US 5459248
合成路线图解说明:

A new synthesis for etoposide phosphate disodium salt has been reported: The reaction of 4'-demethylepipodophpyllotoxin (I) with dibenzyl phosphite and diisopropylethylamine (DIEA) in acetonitrile gives the corresponding 4'-dibenzyl phosphate ester (II), which is condensed with 2,3-di-O-benzyl-4,6-O-ethylidene-alpha,beta-D-glucose (alpha:beta ratio = 85:15) by means of boron trifluoride ethearate in acetonitrile to afford the tetrabenzylated compound (IV). Finally, this compound is deprotected by hydrogenolysis with H2 over Pd/C in methanol/THF.

参考文献No.181893
标题:Etoposide Phosphate Disodium Salt
作者:Casta馿r, J.; Prous, J.
来源:Drugs Fut 1992,17(9),779
合成路线图解说明:

By reaction of etoposide (I) with POCl3 and diisopropylethylamine in acetonitrile, followed by hydrolysis with aqueous NaHCO3.

参考文献No.283802
标题:Synthesis of etoposide phosphate, BMY-40481: A water-soluble clinically active prodrug of etoposide
作者:Saulnier, M.G.; Tun, M.M.; Langley, D.R.; Knipe, J.O.; Doyle, T.W.; Senter, P.D.; Kadow, J.F.; Vyas, D.M.
来源:Bioorg Med Chem Lett 1994,4(21),2567
合成路线图解说明:

Several new, related syntheses of etoposide phosphate disodium salt have been described: 1) The reaction of etoposide (I) with phosphoryl chloride by means of ethyl diisopropylamine gives the corresponding dichlorophosphoryl ester (II), which is then hydrolyzed with NaHCO3 in water. 2) The reaction of etoposide (I) with diphenyl chlorophosphate gives the diphenoxyphosphoryloxy derivative (III), which is hydrogenated with H2 over PtO2 to afford the free phosphoric acid (IV). Finally, this compound is treated with NaHCO3 as before.

合成路线图解说明:

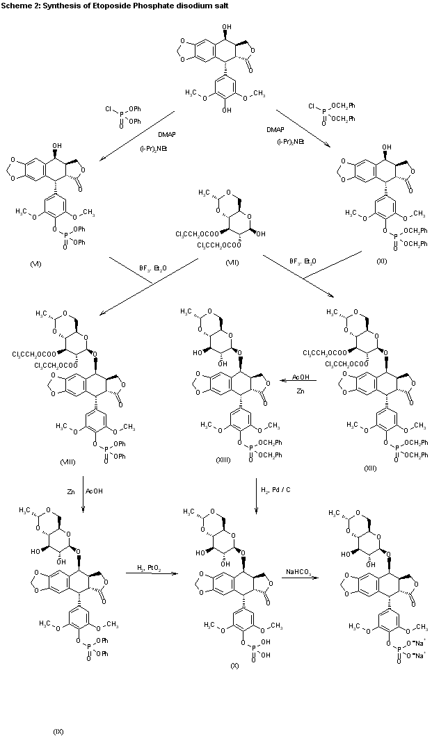
3) The reaction of podophyllotoxin (V) with diphenyl chlorophosphate by means of ethyl diisopropylamine and dimethylaminopyridine (DMAP) gives the diphenylphosphoryloxy derivative (VI), which is glycosylated with 4,6-O-ethylidene-2,3-O-bis(2,2,2-trichloroethoxycarbonyl)-beta-D-glycopyranose (VII) by means of BF3/ethyl ether, yielding the protected etoposide derivative (VIII). The cleavage of the protecting groups of the carbohydrate moiety with Zn/acetic acid affords the free etoposide phosphate diphenyl ester (IX), already obtained (compound (III) of scheme 14675903a). The reductive cleavage of (IX) as before gives the free acid (X) (compound (IV) of scheme 14675903a), which is finally treated with NaHCO3. 4) The preceding reaction pathway carried out with dibenzyl chlorophosphate instead of diphenyl chlorophosphate yields compounds (XI), (XII), and finally (XIII), which by hydrogenolysis with H2 over Pd/C affords the free acid (X), already obtained.

参考文献No.563707
标题:Efficient synthesis of the anticancer drug etoposide 4'-phosphate: Use of benzylic ether-protecting groups on the carbohydrate segment
作者:Vemishetti, P.; Sleezer, P.D.; Dillon, J.L.; Discordia, R.P.; Hartung, K.B.; Silverberg, L.J.
来源:Org Process Res Dev 2000,4(1),34
合成路线图解说明:

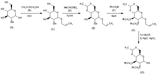
The reaction of D-glucopyranose (A) with allyl alcohol (B) by means of HCl gives glucoside (C), which is treated with acetaldehyde diethylacetal (D) and TsOH in dichloromethane to yield the 4,6-O-ethylideneglucoside (E). Reaction of (E) with benzyl bromide (F), by means of NaH in DMF, affords the 2,3-di-O-benzyl-4,6-O-ethylideneglucoside (G), which is treated with potassium tert-butoxide and with HgO, HgCl2 to give the fully protected sugar (III).

Drug Information Express,Drug R&D,Chemical Database,Patent Search.
Copyright © 2006-2026 Drug Future. All rights reserved.Contact Us