【药物名称】Amlodipine, UK-4834011, Norvasc(as besylate)
化学结构式(Chemical Structure):
参考文献No.2229
标题:2-(Secondary aminoalkoxymethyl)dihydropyridine derivatives as anti-ischaemic and antihypertensive agents
作者:Campbell, S.F.; Cross, P.E.; Stubbs, J.K. (Pfizer Inc.)
来源:DD 218887; EP 0089167; JP 58167569; US 4572909
合成路线图解说明:

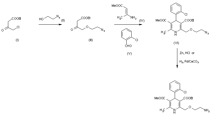
The condensation of ethyl 4-chloroacetoacetate (I) with 2-azidoethanol (II) by means of NaH in THF gives ethyl 4-(2-azidoethoxy)acetoacetate (III), which is submitted to a Hantzsch cyclocondensation with methyl 3-aminocrotonate (IV) and 2-chlorobenzaldehyde (V) in refluxing methanol affording 3-ethyl 5-methyl 2-(2-azidoethoxymethyl)-4-(2-chlorophenyl)-1,4-dihydro-6-methylpyridine-3,5-dicarboxylate (VI), Finally, this compound is reduced with Zn and 3N HCl in methanol, or with H2 over Pd/CaCO3 in ethanol.

合成路线图解说明:

The reaction of ethyl 4-chloroacetoacetate (I) with 2-azidoethanol (II) by means of NaH in THF gives ethyl 4-(2-azidoethoxy)acetoacetate (II), which is cyclized with methyl 2-(2-chlorobenzylidene)acetoacetate (IV) and ammonium acetate in refluxing ethanol to yield the azido-dihydropyridine (V). Finally, the azido group of (V) is reduced with H2 over Pd/C in ethanol to afford the target amlodipine.

参考文献No.26177
标题:3-Ethyl 5-methyl (+)2-[2-(N-tritylamino)ethoxymethyl]-4-(2-chloro-phenyl)-1,4-dihydro-6-methyl-6-methyl-3, 5-pyridinedicarboxylate
作者:Furlan, B.; Copar, A.; Jeriha, A. (LEK Pharmaceutical and Chemical Co.)
来源:EP 0599220; US 5389654
合成路线图解说明:

The protection of ethanolamine (I) with trityl chloride (II) in isopropanol gives N-tritylethanolamine (III), which is condensed with ethyl 4-chloroacetoacetate (IV) by means of NaH in THF to yield ethyl 4-[2-(tritylamino)ethoxy]acetoacetate (V). The cyclization of (V) with 2-chlorobenzaldehyde (VI) and methyl 3-aminocrotonate (VII) in refluxing methanol affords the protected dihydropyridine (VIII), which, without isolation, is finally detritylated by a treatment with aqueous benzenesulfonic acid.

参考文献No.43282
标题:Intermediate for the synthesis of amlodipine, preparation process and corresponding utilization
作者:Campon Pardo, J.; Coppi, L.; Gasanz Guillen, Y. (Laboratorios del Dr. Esteve, SA)
来源:WO 0024714
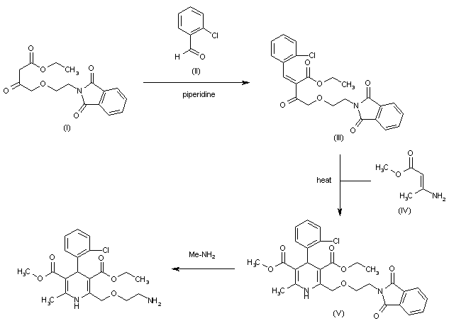
合成路线图解说明:

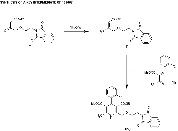
Preparation of a key intermediate in the synthesis of amlodipine: The reaction of ethyl 4-(2-phthalimidoethoxy)acetoacetate (I) with ammonium acetate in refluxing toluene gives the corresponding 3-aminocrotonic acid (II), which is then cyclized with methyl 2-(2-chlorobenzylidene)acetoacetate (III) in refluxing ethanol.

参考文献No.49543
标题:Process for the preparation of 1,4-dihydropyridines and cpds. used in this process
作者:Karup, G.L.; Preikschat, H.F. (GEA A/S Farmaceutisk Fabrik)
来源:WO 9925688
合成路线图解说明:

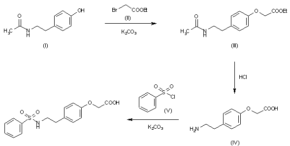
The reaction of 4-[2-(acetylamino)ethyl]phenol (I) with ethyl bromoacetate (II) by means of K2CO3 in refluxing butanone gives 4-[2-(acetylamino)ethyl]phenoxyacetic acid ethyl ester (III), which is hydrolyzed with refluxing aqueous HCl to 4-(2-aminoethyl)phenoxyacetic acid (IV). Finally, this compound is acylated with benzenesulfonyl chloride (V) by means of K2CO3 in hot water.

合成路线图解说明:

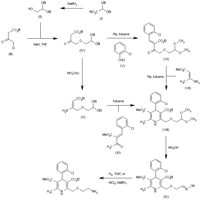
The reduction of 2,2-diethoxyacetic acid ethyl ester (I) with NaBH4 in dimethoxyethane gives 2,2-diethoxyethanol (II), which is condensed with ethyl 4-chloroacetoacetate (III) by means of NaH in hot THF to yield ethyl 4-(2,2-diethoxyethoxy)acetoacetate (IV). The condensation of (IV) with 2-chlorobenzaldehyde (V) by means of piperidine in refluxing toluene affords the acrylic ester (VI), which is cyclized with methyl 3-aminocrotonate (VII) in refluxing toluene to provide the dihydropyridine (VIII). The reaction of (VIII) with hydroxylamine in refluxing methanol/water gives the hydroxyimino derivative (IX), which is finally reduced to the target compound by means of H2 over Pd/C in acetic acid or with NaBH4 and NiCl2 in methanol. Alternatively, intermediate dihydropyridine (VIII) can be obtained as follows: The reaction of acetoacetate (IV) with ammonium acetate in refluxing ethanol gives ethyl 3-amino-4-(2,2-diethoxyethoxy)crotonate (X), which is cyclized with methyl 2-(2-chlorobenzylidene)acetoacetate (XI) in refluxing toluene to yield the target intermediate the dihydropyridine (VIII).

参考文献No.49544
标题:1,4-Dihydropyridines, N-substd. bicyclic 4-hydropyridines, and bicyclic N-substd. 4,5-dihydropyridines
作者:Karimian, K.; Leung-Toung, R.C.S.H.; Tam, T.F. (Apotex Inc.)
来源:US 5723618
合成路线图解说明:

The reaction of 4,5-bis(hydroxymethyl)-2,2-dimethyl-1,3-dioxolane (I) with ethyl 4-chloroacetoacetate (II) gives the bis adduct (III), which is cyclized with 2-chlorobenzaldehyde (IV) and methyl 3-aminocrotonate (V) in refluxing ethanol to yield the dimeric dihydropyridine (VI). The cleavage of the dioxolane ring of (VI) by means of Ts-OH in methanol affords the vicinal diol (VII), which is cleaved by means of NaIO4 in methanol to provide the acetaldehyde derivative (VIII). The reaction of (VIII) with hydroxylamine and TEA in methanol affords the corresponding oxime (IX), which is finally reduced to the target compound with Pd(OH)2/carbon and ammonium formate in refluxing methanol. Alternatively, the reductive amination of acetaldehyde (VIII) with ammonium acetate and sodium cyanoborohydride in methanol yields also the target compound.

合成路线图解说明:

The reaction of 2,2-dimethyl-1,3-dioxolane-4-methanol (X) with ethyl 4-chloroacetoacetate (II) gives the adduct (XI), which is cyclized with 2-chlorobenzaldehyde (IV) and methyl 3-aminocrotonate (V) in refluxing ethanol to yield the dihydropyridine (XII). The cleavage of the dioxolane ring of (XII) by means of Ts-OH in methanol affords the vicinal diol (XIII), which is cleaved by means of NaIO4 in methanol to provide the already reported acetaldehyde derivative (VIII).

参考文献No.49546
标题:Process for the preparation of acetal derivs. of 1,4-dihydropyridines
作者:Pedersen, S.B.; Preikschat, H.F.; Karup, G.L. (GEA A/S Farmaceutisk Fabrik)
来源:WO 9925689
合成路线图解说明:

The reduction of 2,2-diethoxyacetic acid ethyl ester (I) with NaBH4 in dimethoxyethane gives 2,2-diethoxyethanol (II), which is condensed with ethyl 4-chloroacetoacetate (III) by means of NaH in hot THF to yield ethyl 4-(2,2-diethoxyethoxy)acetoacetate (IV). The condensation of (IV) with 2-chlorobenzaldehyde (V) by means of piperidine in refluxing toluene affords the acrylic ester (VI), which is cyclized with methyl 3-aminocrotonate (VII) in refluxing toluene to provide the dihydropyridine (VIII). The reaction of (VIII) with hydroxylamine in refluxing methanol/water gives the hydroxyimino derivative (IX), which is finally reduced to the target compound by means of H2 over Pd/C in acetic acid or with NaBH4 and NiCl2 in methanol. Alternatively, intermediate dihydropyridine (VIII) can be obtained as follows: The reaction of acetoacetate (IV) with ammonium acetate in refluxing ethanol gives ethyl 3-amino-4-(2,2-diethoxyethoxy)crotonate (X), which is cyclized with methyl 2-(2-chlorobenzylidene)acetoacetate (XI) in refluxing toluene to yield the target intermediate the dihydropyridine (VIII).

参考文献No.50600
标题:A process and intermediate cpds. for the preparation of amlodipine benzene sulphonate
作者:N閙eth, N.; Vereczkey, G.D.; Krasznai, G.; Kov醤yi, G.; N閙et, G.; Blask, G.; T鰉pe, P.; Nagy, K.; Bozsing, D.; Simig, G. (Egis Pharmaceuticals Ltd.)
来源:EP 0902016
合成路线图解说明:

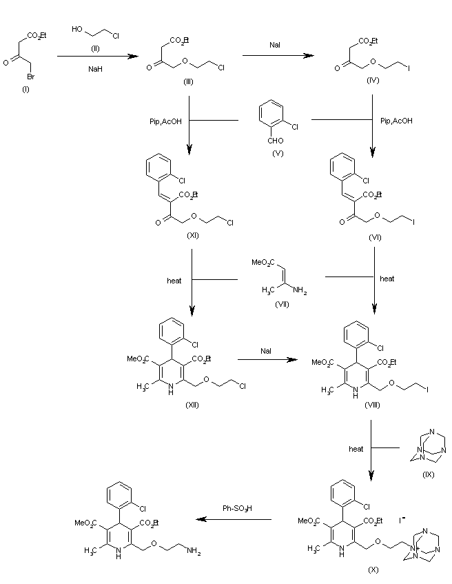
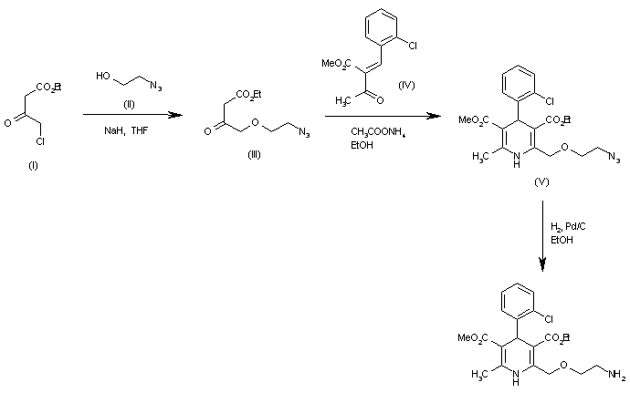
The reaction of ethyl 4-bromoacetoacetate (I) with 2-chloroethanol (II) by means of NaH in THF gives ethyl 4-(2-chloroethoxy)acetoacetate (III), which is treated with NaI in refluxing acetone to yield the corresponding 2-iodoethoxy derivative (IV). The condensation of (IV) with 2-chlorobenzaldehyde (V) by means of piperidine acetate in isopropanol affords ethyl 2-(2-chlorobenzylidene)-4-(2-iodoethoxy)acetoacetate (VI), which is cyclized with methyl 3-aminocrotonate (VII) in refluxing isopropanol to provide the dihydropyridine (VIII). The reaction of (VIII) with hexamethylenetetramine (IX) in hot acetonitrile gives the aminium salt (X), which is finally treated with benzenesulfonic acid in refluxing butanol (methanol)/water. Alternatively, the intermediate dihydropyridine (VIII) can be obtained as follows: The condensation of ethyl 4-(2-chloroethoxy)acetoacetate (III) with the aldehyde (V) by means of piperidine acetate in isopropanol gives ethyl 2-(2-chlorobenzylidene)-4-(2-chloroethoxy)acetoacetate (XI), which is cyclized with methyl 3-aminocrotonate (VII) in refluxing isopropanol to yield the corresponding dihydropyridine (XII). Finally, this compound is treated with NaI in refluxing isopropanol to afford the target intermediate dihydropyridine (VIII).

参考文献No.52134
标题:Amlodipine
作者:Casta馿r, J.; Prous, J.
来源:Drugs Fut 1986,11(2),89
合成路线图解说明:

The condensation of ethyl 4-chloroacetoacetate (I) with 2-azidoethanol (II) by means of NaH in THF gives ethyl 4-(2-azidoethoxy)acetoacetate (III), which is submitted to a Hantzsch cyclocondensation with methyl 3-aminocrotonate (IV) and 2-chlorobenzaldehyde (V) in refluxing methanol affording 3-ethyl 5-methyl 2-(2-azidoethoxymethyl)-4-(2-chlorophenyl)-1,4-dihydro-6-methylpyridine-3,5-dicarboxylate (VI), Finally, this compound is reduced with Zn and 3N HCl in methanol, or with H2 over Pd/CaCO3 in ethanol.

参考文献No.56353
标题:Process for making amlodipine, derivs. thereof, and precursors therefor
作者:Benneker, F.B.G.; Peters, T.H.A.; Slanina, P.; Bartl, J.
来源:WO 0253535
合成路线图解说明:

The condensation of 4-(2-phthalimidoethoxy)acetoacetic acid ethyl ester (I) with 2-chlorobenzaldehyde (II) by means of piperidine in isopropanol gives 2-(2-chlorobenzylidene)-4-(2-phthalimidoethoxy)acetoacetic acid ethyl ester (III), which is cyclized with 3-aminocrotonic acid methyl ester (IV) in hot isopropanol to yield the phthalimido amlodipine (V). Finally, this compound is deprotected by means of aqueous methylamine to afford the target amlodipine.

参考文献No.622530
标题:Long-acting dihydropyridine calcium antagonists. 1. 2-Alkoxymethyl derivatives incorporating basic substituents
作者:Arrowsmith, J.E.; Campbell, S.F.; Cross, P.E.; Stubbs, J.K.; Burges, R.A.; Gardiner, D.G.; Blackburn, K.J.
来源:J Med Chem 1986,29(9),1696
合成路线图解说明:

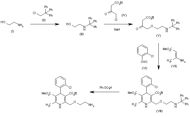
The two enantiomers of amlodipine have been obtained as follows: The reaction of 2-azidoethanol (I) with chloroacetic acid (II) by means of NaH in THF gives 2-(2-azidoethoxy)acetic acid (III), which is condensed with Meldrum's acid (IV) and 3-hydroxypropionitrile (V) in dichloromethane to yield the 2-cyanoethyl acetoacetate (VI). The cyclization of (VI) with 2-chlorobenzaldehyde (VII) and methyl 3-aminocrotonate (VIII) in refluxing ethanol affords the dihydropyridine (IX), which is selectively hydrolyzed at the 2-cyanoethylester with NaOH to give the dihydropyridine monocarboxylic acid (X). The esterification of (X) with (S)-2-methoxy-2-phenylethanol (XI) by means of CDI in dichloromethane provides the ester (XII) as a diastereomeric mixture, which is separated by chromatography to furnish diastereomers (XXI A) and (XII B). The selective ethanolysis of (XII A) and (XII B) with sodium ethoxide in refluxing ethanol/diglyme gives enantiomers (+)-(XIII) and (-)-(XIII), which are finally reduced with H2 over Pd/CaCO3 in ethanol to afford the (-)- and (+)-isomers, respectively, of the target compound.

参考文献No.652878
标题:Synthesis of amlodipine using aza Diels-Alder reaction
作者:Kim, S.-C.; et al.
来源:Bull Korean Chem Soc 2002,23(1),143
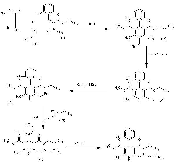
合成路线图解说明:

The cyclization of 2-butynoic acid methyl ester (I) with 2-(2-chlorobenzylidene)-3-oxobutyric acid ethyl ester (II) and benzylamine (III) in refluxing toluene gives the N-benzylated dihydropyridine (IV), which is debenzylated by reduction with formic acid over Pd/C in refluxing methanol to yield the dihydropyridine (V). The bromination of (V) with C5H5NH+ HBr3- in dichloromethane affords the bromomethyl compound (VI), which is condensed with 2-azidoethanol (VII) by means of NaH in ethyl ether to provide the 2-azidoethoxymethyl compound (VIII). Finally, the azido group of (VIII) is reduced with Zn and HCl in methanol to furnish the desired 2-aminoethoxymethyl compound.

Drug Information Express,Drug R&D,Chemical Database,Patent Search.
Copyright © 2006-2026 Drug Future. All rights reserved.Contact Us