【药物名称】Fosinopril sodium, SQ-28555, Tenso-stop, Eliten, Fositen, Fozitec, Monopril HCT, Dynacil, Fosinorm, Monopril, Staril
化学结构式(Chemical Structure):
参考文献No.43194
标题:Process and intermediates for preparing trans-4-substd.-S-prolines
作者:Thottathil, J.K. (Bristol-Myers Squibb Co.)
来源:EP 0183390; US 4588819
合成路线图解说明:

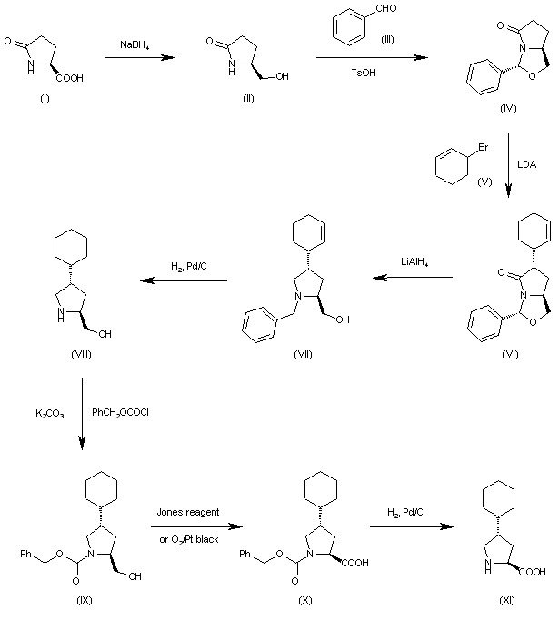
The reduction of L-pyroglutamic acid (I) with NaBH4 gives 5(S)-(hydroxymethyl)pyrrolidin-2-one (II), which is cyclized with benzaldehyde (III) by means of p-toluenesulfonic acid yielding the perhydropyrrolooxazolone (IV). The alkylation of (IV) with 2-cyclohexenyl bromide (V) and LDA in THF affords the corresponding cyclohexenyl derivative (VI), which is reduced with LiAlH4 in THF to give 1-benzyl-3(S)-(2-cyclohexenyl)-5(S)-(hydroxymethyl)pyrrolidine (VII). Elimination of the benzyl protecting group of (VII) with H2 over Pd/C yields the pyrrolidine (VIII), which is reprotected with benzyl chloroformate and K2CO3 to afford the carbamate (IX). The oxidation of the carbinol group of (IX) with Jones reagent or oxygen and platinum black gives the protected proline (X), which is finally deprotected with H2 over Pd/C providing the desired intermediate trans-4-cyclohexyl-L-proline (XI).

参考文献No.43195
标题:Method for making substd. prolines
作者:Floyd, D.; Thottathil, J.K.; Brandt, S.; Moniot, J.L. (Bristol-Myers Squibb Co.)
来源:DE 3434121; US 4501901
合成路线图解说明:

The protection of the NH group of trans-4-hydroxy-L-proline (XII) with tert-butoxycarbonyl anhydride and NaOH in tert-butanol/water gives the N-protected proline (XIII), which is esterified with benzyl alcohol and triethylamine to the benzyl ester (XIV). The tosylation of (XIV) with tosyl chloride and pyridine affords the tosylate (XV), which is debenzylated with H2 over Pd/C yielding the tosylated proline (XVI). The arylation of (XVI) with phenyllithium (XVII) and CuBr in ether/THF affords 1-(tert-butoxycarbonyl)-4(S)-phenyl)-L-proline (XVIII), which is deprotected with TFA in chloroform giving 4(S)-phenyl-L-proline (XIX). Finally, this compound is reduced with H2 over PtO2 in ethanol providing the desired intermediate trans-4-cyclohexyl-L-proline (XI).

参考文献No.98200
标题:Angiotensin-converting enzyme inhibitors. Mercaptan, carboxyalkyl dipeptide, and phosphinic acid inhibitors incorporating 4-substituted prolines
作者:Krapcho, J.; Turk, C.; Cushman, D.W.; Powell, J.R.; DeForrest, J.M.; Spitzmiller, E.R.; Karanewsky, D.S.; Duggan, M.; Rovnyak, G.; Schwartz, J.; et al.
来源:J Med Chem 1988,31(6),1148
合成路线图解说明:

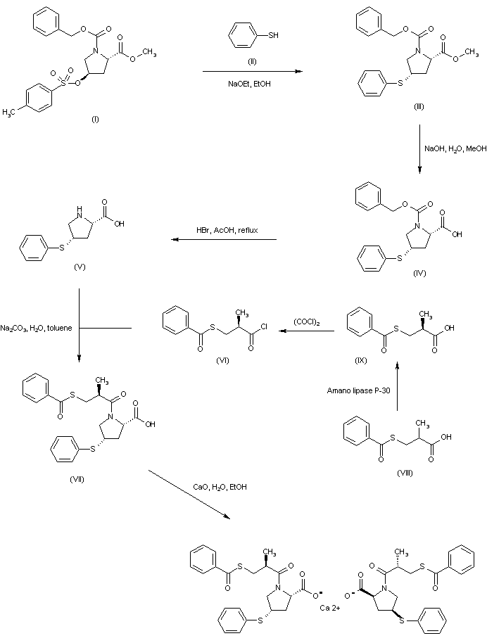
The protected hydroxyproline tosylate (I) was condensed with the sodium derivative of thiophenol (II) to produce thioether (III). After saponification of the methyl ester function of (III), the N-benzyloxycarbonyl group of (IV) was removed by means of HBr in refluxing HOAc, yielding cis-4-(phenylthio)-L-proline (V). Acylation of (V) with (S)-3-(benzoylthio)-2-methylpropionyl chloride (VI) afforded zofenopril (VII), which was finally converted to the corresponding calcium salt by treatment with calcium oxide in EtOH/H2O. The intermediate (S)-3-(benzoylthio)-2-methylpropionyl chloride (VI) was obtained by enzymatic resolution of racemic 3-(benzoylthio)-2-methylpropionic acid (VIII) with Pseudomonas fluorescens (Amano lipase P-30) to yield (S)-3-(benzoylthio)-2-methylpropionic acid (IX), which was activated with oxalyl chloride to afford the chiral acyl chloride (VI).

合成路线图解说明:

The Grignard condensation of N-(benzyloxycarbonyl)-4-oxo-L-proline (XXIX) with phenylmagnesium bromide gives the 4-hydroxy-4-phenylproline derivative (XXX), which is dehydrated with TFA yielding the dehydroproline (XXXI). The hydrogenation of (XXXI) with Li in liquid ammonia affords the previously reported trans-4-phenyl-L-proline (XIX), which is hydrogenated to the corresponding cyclohexyl derivative (XI) with H2 over PtO2.

合成路线图解说明:

A new synthesis of spirapril has been reported: The cyclization of N-benzyloxycarbonyl-4-oxo-(S)-proline (I) with ethandithiol by means of boron trifluoride ethearate in dichloromethane gives 7-(benzyloxycarbonyl)-1,4-dithia-7-azaspiro[4.4]nonane-8(S)-carboxylic acid (II), which is treated with concentrated HCl to yield 1,4-dithia-7-azaspiro[4.4]nonane-8(S)-carboxylic acid (III). The protection of (III) with tert-butoxycarbonyl chloride and with trimethylsilylethanol in the usual manner affords N-(tert-butoxycarbonyl)-1,4-dithia-7-azaspiro[4.4]nonane-8(S)-carboxyli c acid 2-(trimethylsilyl)ethyl ester (IV), which is condensed with N-[1(S)-(ethoxycarbonyl)-3-phenylpropyl]-(S)-alanine (V) by a first treatment with p-toluenesulfonic acid and a condensation step with dicyclohexylcarbodiimide (DCC) and hydroxybenzotriazole (HBT), giving spirapril 2-(trimethylsilyl)ethyl ester (VI). Finally, this ester is hydrolyzed with tetrabutylammonium fluoride trihydrate in DMF.

参考文献No.562899
标题:Process development for the preparation of a monopril intermediate by a trimethylsilyl-modified arbuzov reaction
作者:Anderson, N.G.; et al.
来源:Org Process Res Dev 1997,1(3),211
合成路线图解说明:

The reaction of 4-phenyl-1-butene (XX) with hypophosphorous acid gives 4-phenylbutylphosphinic acid (XXI), which is condensed with chloroacetic acid (XXII) yielding 2-[hydroxy(4-phenylbutyl)phosphoryl]acetic acid (XXIII). The esterifica-tion of (XXII) with benzyl alcohol affords the benzyl acetate (XXIV), which is esterified at the OH group of the phosphinic acid with 2-methyl-1-(propionyloxy)propyl chloride (XXV) giving the completely esterified derivative (XXVI). The debenzylation of (XXVI) with H2 over Pd/C yields the acetic acid derivative (XXVII), which is submitted to optical resolution affording the desired (S)-isomer (XXVIII). Finally, this compound is condensed with the desired intermediate trans-4-cyclohexyl-L-proline (XI) by means of CDI and NaOH.

参考文献No.562906
标题:Generation and fate of regioisomeric side-chain impurities in the preparation of fosinopril sodium
作者:Anderson, N.G.; et al.
来源:Org Process Res Dev 1997,1(4),315
合成路线图解说明:

The reaction of 4-phenyl-1-butene (XX) with hypophosphorous acid gives 4-phenylbutylphosphinic acid (XXI), which is condensed with chloroacetic acid (XXII) yielding 2-[hydroxy(4-phenylbutyl)phosphoryl]acetic acid (XXIII). The esterifica-tion of (XXII) with benzyl alcohol affords the benzyl acetate (XXIV), which is esterified at the OH group of the phosphinic acid with 2-methyl-1-(propionyloxy)propyl chloride (XXV) giving the completely esterified derivative (XXVI). The debenzylation of (XXVI) with H2 over Pd/C yields the acetic acid derivative (XXVII), which is submitted to optical resolution affording the desired (S)-isomer (XXVIII). Finally, this compound is condensed with the desired intermediate trans-4-cyclohexyl-L-proline (XI) by means of CDI and NaOH.

参考文献No.576495
标题:Littium diphenylcuprate reactions with 4-tosyloxy-L-prolines; An interesting stereochemical outcome. A synthesis of trans-4-phenyl-L-proline
作者:Moniot, J.L.; Thottathil, J.K.
来源:Tetrahedron Lett 1986,27(2),151
合成路线图解说明:

The protection of the NH group of trans-4-hydroxy-L-proline (XII) with tert-butoxycarbonyl anhydride and NaOH in tert-butanol/water gives the N-protected proline (XIII), which is esterified with benzyl alcohol and triethylamine to the benzyl ester (XIV). The tosylation of (XIV) with tosyl chloride and pyridine affords the tosylate (XV), which is debenzylated with H2 over Pd/C yielding the tosylated proline (XVI). The arylation of (XVI) with phenyllithium (XVII) and CuBr in ether/THF affords 1-(tert-butoxycarbonyl)-4(S)-phenyl)-L-proline (XVIII), which is deprotected with TFA in chloroform giving 4(S)-phenyl-L-proline (XIX). Finally, this compound is reduced with H2 over PtO2 in ethanol providing the desired intermediate trans-4-cyclohexyl-L-proline (XI).

参考文献No.576765
标题:Conversion of L-pyroglutamic acid to 4-alkyl substituted L-prolines. The synthesis of trans-4-cyclohexyl L-proline
作者:Thottathil, J.K.; et al.
来源:J Org Chem 1986,51(16),3140
合成路线图解说明:

The reduction of L-pyroglutamic acid (I) with NaBH4 gives 5(S)-(hydroxymethyl)pyrrolidin-2-one (II), which is cyclized with benzaldehyde (III) by means of p-toluenesulfonic acid yielding the perhydropyrrolooxazolone (IV). The alkylation of (IV) with 2-cyclohexenyl bromide (V) and LDA in THF affords the corresponding cyclohexenyl derivative (VI), which is reduced with LiAlH4 in THF to give 1-benzyl-3(S)-(2-cyclohexenyl)-5(S)-(hydroxymethyl)pyrrolidine (VII). Elimination of the benzyl protecting group of (VII) with H2 over Pd/C yields the pyrrolidine (VIII), which is reprotected with benzyl chloroformate and K2CO3 to afford the carbamate (IX). The oxidation of the carbinol group of (IX) with Jones reagent or oxygen and platinum black gives the protected proline (X), which is finally deprotected with H2 over Pd/C providing the desired intermediate trans-4-cyclohexyl-L-proline (XI).

合成路线图解说明:

The reduction of L-pyroglutamic acid (I) with NaBH4 gives the chiral pyrrolidinone (II), which is cyclized with benzaldehyde (III) by means of Ts-OH in refluxing toluene to yield the N,O-acetal (IV). The reaction of (IV) with isobutyl chloroformate (V) and phenylselanyl chloride by means of LiHMDS in THF affords the selenoester (VI), which is treated directly with H2O2 in dichloromethane to provide the unsaturated bicyclic lactam (VII). The diastereoselective reaction of (VII) with lithium di(4-fuorophenyl)cuprate (VIII) gives the all-trans trisubstituted pyrrolidone (IX). The reduction of the carbonyl group (IX) with BH3 in THF that also causes the cleavage of the C-O bond of the oxazolidinone yields the pyrrolidine methanol derivative (X), which is submitted to ring expansion by treatment with MsCl, DCE and TEA to afford the expected trisubstituted 3-chloropiperidine (XI). The dechlorination of (XI) by means of Bu3SnH and AIBN in refluxing toluene provides the trans-1-benzyl-4-(4-fluorophenyl)piperidine-3-carboxylic acid isobutyl ester (XII), which is reduced with LiAlH4 in THF to furnish the carbinol (XIII). The reaction of (XIII) with Ms-Cl and TEA in dichloromethane gives the corresponding mesylate (XIV), which is condensed with 1,3-benzodioxol-5-ol (XV) by means of sodium isopropoxide in refluxing isopropanol to yield the aryl ether (XVI). Finally, this compound is deprotected by hydrogenation with H2 over Pd/C in methanol to afford the target trans-piperidine derivative.

Drug Information Express,Drug R&D,Chemical Database,Patent Search.
Copyright © 2006-2026 Drug Future. All rights reserved.Contact Us