【药物名称】Etretinate, Ro-10-9359, Tegison
化学结构式(Chemical Structure):
参考文献No.800626
标题:RO 10/9359
作者:Casta馿r, J.; Thorpe, P.
来源:Drugs Fut 1977,2(3),199
合成路线图解说明:

The chloromethylation of 2,3,5-trimethylanisole (II) [prepared by alkylation of 2,3,5-trimethylphenol (I) with methyl iodide] with formaldehyde and HCl gives 4-chloromethyl-2,3,5-trimethylanisole (III), which by reaction with triphenylphosphine in refluxing toluene affords 4-methoxy-2,3,6-trimethylbenzyltriphenylphosphonium chloride (IV). The Wittig reaction of (IV) with ethyl 7-formyl-3-methylocta-2,4,6-trien-1-oate (A) affords the desired compound.

合成路线图解说明:

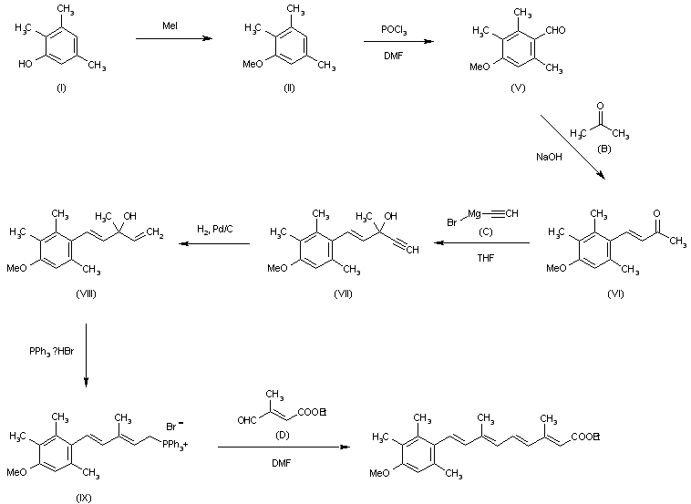
The reaction of 2,3,5-trimethylanisole (II) [prepared by alkylation of 2,3,5-trimethylphenol (I) with methyl iodide] with DMF and POCl3 affords 4-(4-methoxy-2,3,6-trimethylbenzaldehyde (V), which is condensed with propanone (B) in aqueous NaOH giving 4-(4-methoxy-2,3,6-trimethylphenyl)-but-3-en-2-one (VI). The Grignard reaction of (VI) with ethynylmagnesium bromide (C) in THF yields 5-(4-methoxy-2,3,6-trimethylphe-nyl)-3-methyl-3-hydroxypenta-4-en-1-yne (VII), which is partially hydrogenated with H2 over deactivated Pd in hexane to give 5-(4-methoxy-2,3,6-trimethylphenyl)-3-methyl-3-hydroxypenta-1,4-diene (VIII). The reaction of (VIII) with triphenylphosphonium hydrobromide in benzene affords 5-(4-methoxy-2,3,6-trimethylphenyl)-3-methylpenta-2,4-diene-1-triphenylphosphonium bromide (IX). Finally, this compound is submitted to a Wittig reaction with ethyl 3,4-formylcrotonate (D) in DMF (NaH is used as base).

参考文献No.800627
标题:Polyene derivatives
作者:Bollag, W. et al.
来源:DE 2414619; ES 424750; FR 2223037; GB 1468401; GB 1468402
合成路线图解说明:

The chloromethylation of 2,3,5-trimethylanisole (II) [prepared by alkylation of 2,3,5-trimethylphenol (I) with methyl iodide] with formaldehyde and HCl gives 4-chloromethyl-2,3,5-trimethylanisole (III), which by reaction with triphenylphosphine in refluxing toluene affords 4-methoxy-2,3,6-trimethylbenzyltriphenylphosphonium chloride (IV). The Wittig reaction of (IV) with ethyl 7-formyl-3-methylocta-2,4,6-trien-1-oate (A) affords the desired compound.

合成路线图解说明:

The reaction of 2,3,5-trimethylanisole (II) [prepared by alkylation of 2,3,5-trimethylphenol (I) with methyl iodide] with DMF and POCl3 affords 4-(4-methoxy-2,3,6-trimethylbenzaldehyde (V), which is condensed with propanone (B) in aqueous NaOH giving 4-(4-methoxy-2,3,6-trimethylphenyl)-but-3-en-2-one (VI). The Grignard reaction of (VI) with ethynylmagnesium bromide (C) in THF yields 5-(4-methoxy-2,3,6-trimethylphe-nyl)-3-methyl-3-hydroxypenta-4-en-1-yne (VII), which is partially hydrogenated with H2 over deactivated Pd in hexane to give 5-(4-methoxy-2,3,6-trimethylphenyl)-3-methyl-3-hydroxypenta-1,4-diene (VIII). The reaction of (VIII) with triphenylphosphonium hydrobromide in benzene affords 5-(4-methoxy-2,3,6-trimethylphenyl)-3-methylpenta-2,4-diene-1-triphenylphosphonium bromide (IX). Finally, this compound is submitted to a Wittig reaction with ethyl 3,4-formylcrotonate (D) in DMF (NaH is used as base).

Drug Information Express,Drug R&D,Chemical Database,Patent Search.
Copyright © 2006-2026 Drug Future. All rights reserved.Contact Us