【药物名称】Amcinonide, CL-34699
化学结构式(Chemical Structure):
参考文献No.47596
标题:Administration of 16alpha,17alpha-cyclopentylidenedioxy-9alpha-fluoro-11beta,21-dihydroxy-1,4-pregnadiene-3,20-dione-21-acetate
作者:Sieger, G.M.; Krieger, C. (American Cyanamid Co.)
来源:DE 2437847; FR 2240738; GB 1442925; US 4158055
合成路线图解说明:

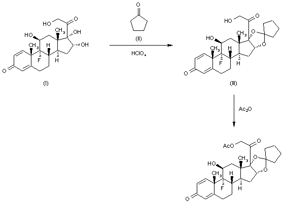
9alpha,fluoro-11beta16alpha,17,21-tetrahydroxypregna-1,4-diene-3,20-dione (I) is ketalized by reaction with cyclopentanone (II) by means of perchloric acid yielding the ketal (III), which is then acetylated by reaction with acetic anhydride in pyridine.

参考文献No.800610
标题:Amcinodine
作者:Hillier, K.; Casta馿r, J.
来源:Drugs Fut 1978,3(5),337
合成路线图解说明:

9alpha,fluoro-11beta16alpha,17,21-tetrahydroxypregna-1,4-diene-3,20-dione (I) is ketalized by reaction with cyclopentanone (II) by means of perchloric acid yielding the ketal (III), which is then acetylated by reaction with acetic anhydride in pyridine.

Drug Information Express,Drug R&D,Chemical Database,Patent Search.
Copyright © 2006-2026 Drug Future. All rights reserved.Contact Us