【药物名称】Tocainide hydrochloride, Tonocard
化学结构式(Chemical Structure):
参考文献No.345173
标题:Tocainide
作者:Hillier, K.; Casta馿r, J.
来源:Drugs Fut 1977,2(2),141
合成路线图解说明:

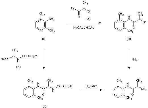
Compound can be prepared in two different ways both starting from 2,6-xylidine (I): 1) By condensation of (I) with N-carbobenzoxyalanine (B) by means of dicyclohexylcarbodiimide in methylenechloride giving N-(carbobenzoxyalanyl)xylidine (II), which is then hydrogenated over Pd/C in ethanol - methylene chloride. 2) By condensation of (I) with 2-bromopropionyl bromide (A) by means of sodium acetate in acetic acid giving 2-bromo-2',6'-propionoxylidide (III), which is then treated with NH3 in alcohol water.

参考文献No.701074
标题:Primary amino acylanilides methods of making the same and use as antiarrhythmic drugs
作者:Boyes, R.N.; et al.
来源:DE 2400540; ES 422085; FR 2213065; GB 1461602; JP 49116034
合成路线图解说明:

Compound can be prepared in two different ways both starting from 2,6-xylidine (I): 1) By condensation of (I) with N-carbobenzoxyalanine (B) by means of dicyclohexylcarbodiimide in methylenechloride giving N-(carbobenzoxyalanyl)xylidine (II), which is then hydrogenated over Pd/C in ethanol - methylene chloride. 2) By condensation of (I) with 2-bromopropionyl bromide (A) by means of sodium acetate in acetic acid giving 2-bromo-2',6'-propionoxylidide (III), which is then treated with NH3 in alcohol water.

参考文献No.701075
标题:Propionamide derivative a method of making it and therapeutic compositions containing it
作者:Boyes, R.N.; et al.
来源:DE 2235745; FR 2147277; GB 1374367; NL 7210418
合成路线图解说明:

Compound can be prepared in two different ways both starting from 2,6-xylidine (I): 1) By condensation of (I) with N-carbobenzoxyalanine (B) by means of dicyclohexylcarbodiimide in methylenechloride giving N-(carbobenzoxyalanyl)xylidine (II), which is then hydrogenated over Pd/C in ethanol - methylene chloride. 2) By condensation of (I) with 2-bromopropionyl bromide (A) by means of sodium acetate in acetic acid giving 2-bromo-2',6'-propionoxylidide (III), which is then treated with NH3 in alcohol water.

Drug Information Express,Drug R&D,Chemical Database,Patent Search.
Copyright © 2006-2026 Drug Future. All rights reserved.Contact Us