【药物名称】Moracizine hydrochloride, Moricizine hydrochloride, E-350, E-313, Ethmozine
化学结构式(Chemical Structure):
参考文献No.345168
标题:Moracizine
作者:Casta馿r, J.; Roberts, P.J.
来源:Drugs Fut 1978,3(2),122
合成路线图解说明:

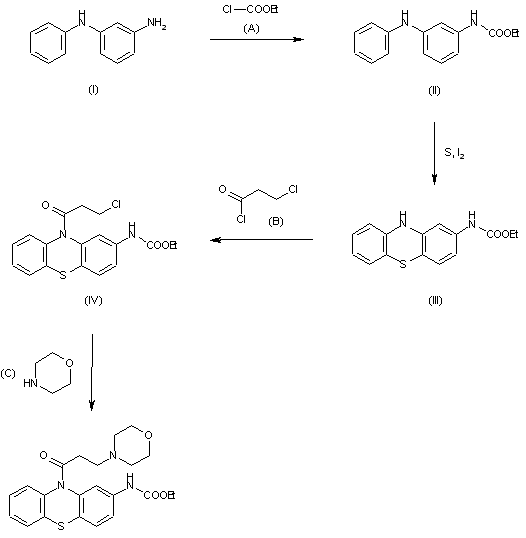
The reaction of 3-aminodiphenylamine (I) with ethyl chloroformate (A) gives ethyl 3-anilinocarbanilate (II), which is cyclized by heating with S and I2 to yield ethyl phenothiazine-2-carbamate (III). The condensation of (III) with 3-chloropropionyl chloride (B) in refluxing toluene affords ethyl 10-(3-chloropropionyl)phenothiazine-2-carbamate (IV), which is finally condensed with refluxing morpholine (C).

参考文献No.701016
标题:Ethyl 10-(beta-N-morpholinylpropionyl)phenthiazine-2-carbamate and the hydrochloride thereof and a method for preparing the same
作者:Gritsenko, A.N.; et al.
来源:GB 1269969
合成路线图解说明:

The reaction of 3-aminodiphenylamine (I) with ethyl chloroformate (A) gives ethyl 3-anilinocarbanilate (II), which is cyclized by heating with S and I2 to yield ethyl phenothiazine-2-carbamate (III). The condensation of (III) with 3-chloropropionyl chloride (B) in refluxing toluene affords ethyl 10-(3-chloropropionyl)phenothiazine-2-carbamate (IV), which is finally condensed with refluxing morpholine (C).

参考文献No.701017
标题:Ethyl 10-(beta-morpholinylpropionyl)phenthiazine-2-carbamate hydrochloride
作者:Gritsenko, A.N.; et al.
来源:US 3740395
合成路线图解说明:

The reaction of 3-aminodiphenylamine (I) with ethyl chloroformate (A) gives ethyl 3-anilinocarbanilate (II), which is cyclized by heating with S and I2 to yield ethyl phenothiazine-2-carbamate (III). The condensation of (III) with 3-chloropropionyl chloride (B) in refluxing toluene affords ethyl 10-(3-chloropropionyl)phenothiazine-2-carbamate (IV), which is finally condensed with refluxing morpholine (C).

参考文献No.701018
标题:Antiarhythmic pharmaceutical preparation containing ethyl 10-(beta-morpholylpropionyl) phenthiazine-2-carbamate hydrochloride
作者:Gritsenko, A.N.; et al.
来源:DE 2014201; US 3864487
合成路线图解说明:

The reaction of 3-aminodiphenylamine (I) with ethyl chloroformate (A) gives ethyl 3-anilinocarbanilate (II), which is cyclized by heating with S and I2 to yield ethyl phenothiazine-2-carbamate (III). The condensation of (III) with 3-chloropropionyl chloride (B) in refluxing toluene affords ethyl 10-(3-chloropropionyl)phenothiazine-2-carbamate (IV), which is finally condensed with refluxing morpholine (C).

参考文献No.800260
标题:Synthesis of ethmosine [hydrochloride of the ethyl ester of 10-(beta-morpholylpropionyl)phenothiazine-2-carbamic acid], a new antiarrhytmic preparation
作者:Gritsenko, A.N.; et al.
来源:Khim Farm Zh 1972,6(9),17-19
合成路线图解说明:

The reaction of 3-aminodiphenylamine (I) with ethyl chloroformate (A) gives ethyl 3-anilinocarbanilate (II), which is cyclized by heating with S and I2 to yield ethyl phenothiazine-2-carbamate (III). The condensation of (III) with 3-chloropropionyl chloride (B) in refluxing toluene affords ethyl 10-(3-chloropropionyl)phenothiazine-2-carbamate (IV), which is finally condensed with refluxing morpholine (C).

Drug Information Express,Drug R&D,Chemical Database,Patent Search.
Copyright © 2006-2026 Drug Future. All rights reserved.Contact Us