【药物名称】Celiprolol hydrochloride, ST-1396, Cordiax, Selectol, Celectol
化学结构式(Chemical Structure):
参考文献No.42112
标题:4-Ureido-2-acyl phenoxypropanolamine
作者:Stormann-Menninger-Lerchenthal, H.; Pittner, H.; Z鰈ss, G. (CL Pharma)
来源:DE 2458624; US 4034009
合成路线图解说明:

The condensation of 3-acetyl-4-hydroxyaniline (I) with N,N-diethylcarbamoyl chloride (II) in pyridine gives the urea (II), which is treated with epichlorohydrin (IV) and NaOH to yield N-[3-acetyl-4-(2,3-epoxypropoxy)phenyl]-N',N'-diethylurea (V). Finally, the epoxy ring of (V) is opened with tert-butylamine (VI).

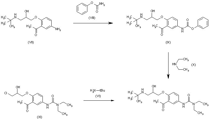
合成路线图解说明:

The reaction of 3-acetyl-4-[3-(tert-butylamino)-2-hydroxypropoxy)aniline (VII) with phenyl carbamate (VIII) in pyridine gives the N-[3-acetyl-4-[3-(tert-butylamino)-2-hydroxypropoxy]phenylcarbamic acid phenyl ester (IX), which is tretated with diethylamine (X) in ethanol/water. By reaction of N-[3-acetyl-4-(3-chloro-2-hydroxypropoxy)phenyl]-N',N'-diethylurea (XI) with tert-butylamine (VI).

参考文献No.616136
标题:A new and improved process for celiprolol hydrochloride
作者:Joshi, R.A.; et al.
来源:Org Process Res Dev 2001,5(2),176
合成路线图解说明:

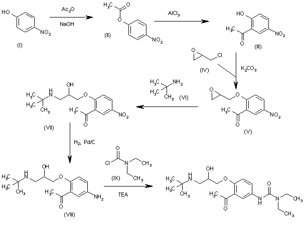
The reaction of 4-nitrophenol (I) with acetic anhydride in aqueous NaOH gives the corresponding acetate (II), which is submitted to a Fries migration with AlCl3 in nitrobenzene at 140 C to yield the acetophenone (III). The condensation of (III) with epichlorohydrin (IV) by means of K2CO3 affords the adduct (V), which is treated with tert-butylamine (VI) in water to obtain the aminoisopropanol derivative (VII). The reduction of the nitro group of (VII) with H2 over Pd/C in methanol gives the corresponding amino derivative (VIII), which is finally condensed with N,N-diethylcarbamoyl chloride (IX) by means of TEA in THF to yield the target urea.

参考文献No.618282
标题:Absolute configuration and enantiomeric purity of celiprolol
作者:Hofer, O.; Schl鰃l, K.
来源:Arzneim-Forsch Drug Res 1986,36(8),1157
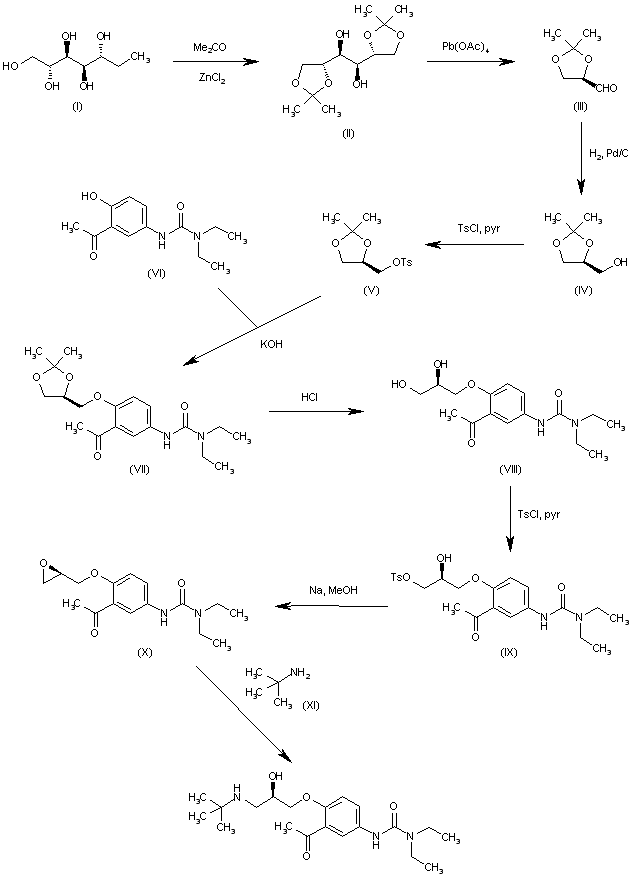
合成路线图解说明:

The reaction of D-mannitol (I) with acetone and ZnCl2 gives the diacetonide (II), which is oxidized with Pb(OAc)4 to yield the acetonide of (R)-glyceraldehyde (III). The reduction of (III) with H2 over Pd/C affords the (S)-glycerin acetonide (IV), which is treated with TsCl in pyridine to provide the corresponding tosylate (V). The condensation of (V) with the urea derivative (VI) by means of KOH in DMSO gives the adduct (VII), which is deprotected with HCl in acetone to yield the diol (VIII). Monotosylation of (VIII) with TsCl in pyridine affords the primary tosylate (IX), which is treated with Na in methanol to provide the epoxide (X). Finally this compound is treated with tert-butylamine to furnish the target (R)-enantiomer.

参考文献No.618283
标题:On the synthesis of the cardioselective beta-adrenergic receptor blocking agent celiprolol
作者:Z鰈ss, G.
来源:Arzneim-Forsch Drug Res 1983,33(1a),2
合成路线图解说明:

The condensation of 4-ethoxyaniline (II) with N,N-diethylcarbamoyl chloride (II) by means of KHCO3 gives the urea (III), which is acylated with acetyl chloride and AlCl3 to yield N-(3-acetyl-4-hydroxyphenyl)-N',N'-diethylurea (IV). The alkylation of (IV) with epichlorohydrin (V) affords the adduct (VI), which is treated with HBr providing the bromoalcohol (VII). Finally this compound is treated with tert-butylamine to furnish the target urea.

参考文献No.701452
标题:
作者:Zoelss, G.; et al.
来源:AT 334385
合成路线图解说明:

There are several pathways for the preparation of the title compound according to the patent literature.

参考文献No.701453
标题:
作者:Zoelss, G.
来源:AT 335465
合成路线图解说明:

There are several pathways for the preparation of the title compound according to the patent literature.

参考文献No.701454
标题:
作者:Zoelss, G.
来源:AT 335464
合成路线图解说明:

There are several pathways for the preparation of the title compound according to the patent literature.

参考文献No.701455
标题:
作者:Zoelss, G.
来源:AT 335467
合成路线图解说明:

There are several pathways for the preparation of the title compound according to the patent literature.

参考文献No.701456
标题:Celiprolol - ein kardioselektiver beta-rezeptorblocker
作者:
来源:Chemie Linz Ag (Kurzinformation), UL/2007, (Nov. 1978) 1978,
合成路线图解说明:

There are several pathways for the preparation of the title compound according to the patent literature.

参考文献No.800513
标题:Celiprolol hydrocloride
作者:Koch, H.
来源:Drugs Fut 1979,4(3),181
合成路线图解说明:

There are several pathways for the preparation of the title compound according to the patent literature.

Drug Information Express,Drug R&D,Chemical Database,Patent Search.
Copyright © 2006-2026 Drug Future. All rights reserved.Contact Us