【药物名称】Guanfacine hydrochloride, SPD-503, BS-100-141, Estulic, Tenex
化学结构式(Chemical Structure):
参考文献No.47824
标题:Substituted phenylacethyl derivatives of guanidine, O-alkylisoureas, S-alkylisothioureas and p-benzylalkylisothioureas
作者:Bream, J.B.; et al. (Novartis AG)
来源:DE 179348; FR 1584670; GB 1235723; US 3632645
合成路线图解说明:

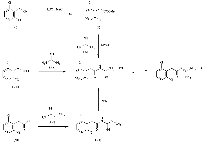
1) By methanolysis of 2,6-dichlorophenylacetonitrile (I) by means of H2SO4 to methyl 2,6-dichlorophenylacetate (II), which is then condensed with guanidine (A) in isopropanol. 2) By condensation of S-methylisothiourea (V) with 2,6-dichlorophenylacetyl chloride (VI) in acetone to afford S-methyl-N-(2,6-dichlorophenylacetyl)isothiourea (VII); this product is then treated with ammonia in isopropanol. 3) By condensation of 2,6-dichlorophenylacetic acid (VIII) with guanidine (A) in toluene.

参考文献No.604466
标题:Substituted phenylacetylguanidines: A new class of antihypertensive agents
作者:Bream, J.B.; et al.
来源:Arzneim-Forsch Drug Res 1975,25(10),1477
合成路线图解说明:

1) By methanolysis of 2,6-dichlorophenylacetonitrile (I) by means of H2SO4 to methyl 2,6-dichlorophenylacetate (II), which is then condensed with guanidine (A) in isopropanol. 2) By condensation of S-methylisothiourea (V) with 2,6-dichlorophenylacetyl chloride (VI) in acetone to afford S-methyl-N-(2,6-dichlorophenylacetyl)isothiourea (VII); this product is then treated with ammonia in isopropanol. 3) By condensation of 2,6-dichlorophenylacetic acid (VIII) with guanidine (A) in toluene.

参考文献No.800700
标题:BS 100-141
作者:Arrigoni-Martelli, E.; Casta馿r, J.
来源:Drugs Fut 1976,1(4),167
合成路线图解说明:

1) By methanolysis of 2,6-dichlorophenylacetonitrile (I) by means of H2SO4 to methyl 2,6-dichlorophenylacetate (II), which is then condensed with guanidine (A) in isopropanol. 2) By condensation of S-methylisothiourea (V) with 2,6-dichlorophenylacetyl chloride (VI) in acetone to afford S-methyl-N-(2,6-dichlorophenylacetyl)isothiourea (VII); this product is then treated with ammonia in isopropanol. 3) By condensation of 2,6-dichlorophenylacetic acid (VIII) with guanidine (A) in toluene.

合成路线图解说明:

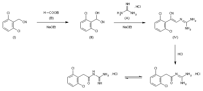
4) By reaction of the nitrile (I) with ethyl formate (B) by means of NaOEt in ethanol to give alpha-formyl-2,6-dichlorophenylacetonitrile (III), which is condensed with guanidine hydrochloride (A) by means of NaOEt in ethanol to yield alpha-(guanidinomethylene)-2,6-dichlorophenylacetonitrile (IV); this product is finally hydrolyzed and rearranged by means of HCl.

参考文献No.800702
标题:Verfahren zur Herstellung von Acylguanidinen
作者:Bream, J.B.; et al.
来源:CH 518910
合成路线图解说明:

4) By reaction of the nitrile (I) with ethyl formate (B) by means of NaOEt in ethanol to give alpha-formyl-2,6-dichlorophenylacetonitrile (III), which is condensed with guanidine hydrochloride (A) by means of NaOEt in ethanol to yield alpha-(guanidinomethylene)-2,6-dichlorophenylacetonitrile (IV); this product is finally hydrolyzed and rearranged by means of HCl.

参考文献No.800703
标题:Verfahren zur Herstellung von Acylguanidinen
作者:Bream, J.B.; et al.
来源:CH 511816
合成路线图解说明:

4) By reaction of the nitrile (I) with ethyl formate (B) by means of NaOEt in ethanol to give alpha-formyl-2,6-dichlorophenylacetonitrile (III), which is condensed with guanidine hydrochloride (A) by means of NaOEt in ethanol to yield alpha-(guanidinomethylene)-2,6-dichlorophenylacetonitrile (IV); this product is finally hydrolyzed and rearranged by means of HCl.

Drug Information Express,Drug R&D,Chemical Database,Patent Search.
Copyright © 2006-2026 Drug Future. All rights reserved.Contact Us