【药物名称】Pirbuterol hydrochloride, CP-24314-1, Exirel
化学结构式(Chemical Structure):
参考文献No.46251
标题:Process and intermediates for preparing pirbuteol and analogs
作者:Masset, S.S.; Cue, B.W. (Pfizer Inc.)
来源:EP 0058069; EP 0058070; EP 0058071; EP 0058072; JP 57150665
合成路线图解说明:

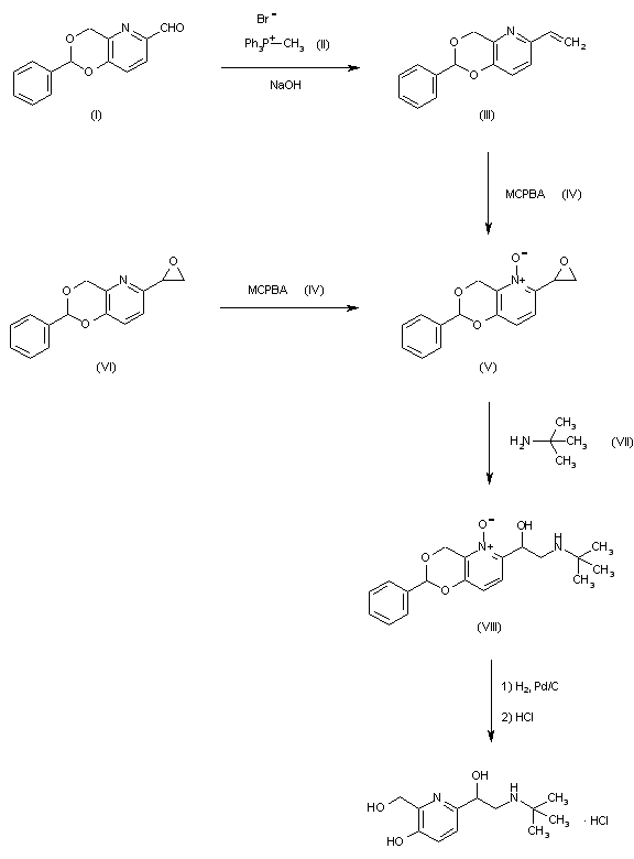
A new method for the synthesis of pirbuterol hydrochloride has been described: By reaction of 2-phenyl-4H-1,3-dioxino[5,4-b]pyridine-6-carbaldehyde (I) with methyltriphenylphosphonium bromide (II) and NaOH in toluene to give 2-phenyl-6-vinyl-4H-1,3-dioxino[5,4-b]pyridine (III), which is treated with m-chloroperbenzoic acid (IV) in methylene chloride to give 6-(1,2-epoxyethyl)-2-phenyl-4H-1,3-dioxino[5,4-b]pyridine N-oxide (V). Compound (V) can also be obtained from 6-(1,2-epoxyethyl)-2-phenyl-4H-1,3-dioxino[5,4-b]pyridine (VI) by reaction with m-chloroperbenzoic acid (IV) as before. The reaction of (V) with tert-butylamine (VII) in methanol affords 6-(1-hydroxy-2-tert-butylaminoethyl)-2-phenyl-4H-1,3-dioxino[5,4-b]pyridine N-oxide (VIII), which is first treated with H2 over Pd/C in methanol and then with HCl in ethyl acetate to give pirbuterol hydrochloride.

参考文献No.326723
标题:Pirbuterol
作者:Casta馿r, J.; Thorpe, P.
来源:Drugs Fut 1977,2(1),60
合成路线图解说明:

The reaction of 3-hydroxypyridine (I) first with formaldehyde and NaOH in water, and then with benzyl bromide (A) in ethanol gives 3-benzyloxy-2,6-bis(hydroxymethyl)pyridine hydrochloride (II), which is oxidized with MnO2 in refluxing benzene yielding 2-hydroxmethyl-3-benzyloxy-6-pyridincarboxaldehyde (III). The condensation of (III) with tertbutylisonitrile (B) and acetic acid in refluxing CHCl3 affords N-tertbutyl-2-(5-benzyloxy-6-hydroxymethyl-2-pyridil)-2-acetoxyacetamide (IV), which is hydrolyzed with 12N HCl yielding N-tertbutyl-2-(5-benzyloxy-6-hydroxymethyl-2-pyridil)-2-hydroxyacetamide (V). The reduction of the amide group of (V) with diborane in THF gives 2-hydroxymethyl-3-benzyloxy-6-(1-hydroxy-2-tertbutylaminoethyl)pyridine (VI), which is finally debenzylated with H2 over Pd/C in methanol.

参考文献No.701086
标题:2-Hydroxymethyl-3-hydroxy-6-(1-hydroxy-2-aminoethyl)pyridines
作者:Barth, W.
来源:DE 2204195; FR 2125309; GB 1367668; GB 1367669; US 3700681; US 3763173
合成路线图解说明:

The reaction of 3-hydroxypyridine (I) first with formaldehyde and NaOH in water, and then with benzyl bromide (A) in ethanol gives 3-benzyloxy-2,6-bis(hydroxymethyl)pyridine hydrochloride (II), which is oxidized with MnO2 in refluxing benzene yielding 2-hydroxmethyl-3-benzyloxy-6-pyridincarboxaldehyde (III). The condensation of (III) with tertbutylisonitrile (B) and acetic acid in refluxing CHCl3 affords N-tertbutyl-2-(5-benzyloxy-6-hydroxymethyl-2-pyridil)-2-acetoxyacetamide (IV), which is hydrolyzed with 12N HCl yielding N-tertbutyl-2-(5-benzyloxy-6-hydroxymethyl-2-pyridil)-2-hydroxyacetamide (V). The reduction of the amide group of (V) with diborane in THF gives 2-hydroxymethyl-3-benzyloxy-6-(1-hydroxy-2-tertbutylaminoethyl)pyridine (VI), which is finally debenzylated with H2 over Pd/C in methanol.

Drug Information Express,Drug R&D,Chemical Database,Patent Search.
Copyright © 2006-2026 Drug Future. All rights reserved.Contact Us