【药物名称】Oxitropium bromide, BA-253, Oxivent
化学结构式(Chemical Structure):
参考文献No.326721
标题:Oxitropium bromide
作者:Dharma, A.P.
来源:Drugs Fut 1979,4(2),117
合成路线图解说明:

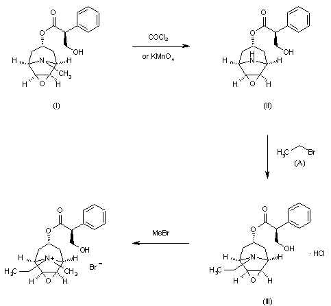
Compound can be prepared in three steps starting from (-)-scopalamine (hyoscine) (I) by demethylation of (-)-scopolamine with phosgene or potassium permanganate, by alkylation of the resulting (-)-norscopolamine (II) with ethylbromide (A) by means of sodium carbonate, and by quaternization of the resulting (-)-N-ethyl-norscopolamine (III) with methylbromide yielding Ba-253-BR.

Drug Information Express,Drug R&D,Chemical Database,Patent Search.
Copyright © 2006-2026 Drug Future. All rights reserved.Contact Us