【药物名称】Nabilone, LY-109514, Cesamet
化学结构式(Chemical Structure):
参考文献No.313601
标题:Nabilone
作者:Casta馿r, J.; Weetman, D.F.
来源:Drugs Fut 1978,3(3),207
合成路线图解说明:

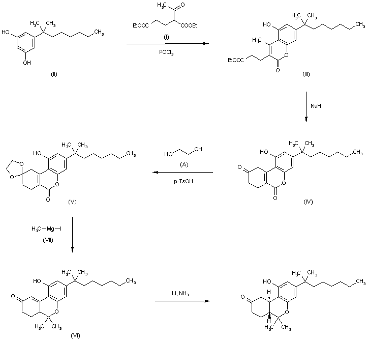
The condensation of diethyl 2-acetylglutarate (I) with 5-(1,1-dimethylheptyl)resorcinol (II) by means of POCl3 gives ethyl 7-(1,1-dimethylheptyl)-5-hydroxy-4-methyl-2-oxo-2H-1-benzopyran-3-propionate (III), which is cyclized by means of NaH in DMSO yielding 3-(1,1-dimethylheptyl)-7,10-dihydro-1-hydroxy-6H-dibenzo[b,d]pyran-6,9-(8H)-dione (IV). The ketalization of (IV) with ethylene glycol (A) and p-toluenesulfonic acid affords the ketal (V), which by a Grignard reaction with methylmagnesium iodide in refluxing ether is converted into dl-3-(1,1-dimethylheptyl)-6,6a,7,8-tetrahydro-1-hydroxy-6,6-dimethyl-9H-dibenzo[b,d]pyran-9-one (VI). Finally, this compound is reduced with Li in liquid ammonia.

参考文献No.701006
标题:Hexahydro-dibenzo[b,d]pyran-9-ones as analgesic drugs
作者:Archer, R.A.
来源:US 3944673
合成路线图解说明:

The condensation of diethyl 2-acetylglutarate (I) with 5-(1,1-dimethylheptyl)resorcinol (II) by means of POCl3 gives ethyl 7-(1,1-dimethylheptyl)-5-hydroxy-4-methyl-2-oxo-2H-1-benzopyran-3-propionate (III), which is cyclized by means of NaH in DMSO yielding 3-(1,1-dimethylheptyl)-7,10-dihydro-1-hydroxy-6H-dibenzo[b,d]pyran-6,9-(8H)-dione (IV). The ketalization of (IV) with ethylene glycol (A) and p-toluenesulfonic acid affords the ketal (V), which by a Grignard reaction with methylmagnesium iodide in refluxing ether is converted into dl-3-(1,1-dimethylheptyl)-6,6a,7,8-tetrahydro-1-hydroxy-6,6-dimethyl-9H-dibenzo[b,d]pyran-9-one (VI). Finally, this compound is reduced with Li in liquid ammonia.

参考文献No.701007
标题:Dihydroxyhexahydrodibenzo[b,d]pyrans
作者:Archer, R.A.
来源:DE 2451934; ES 431674; FR 2249664; GB 1487637; JP 50071678; US 3968125
合成路线图解说明:

The condensation of diethyl 2-acetylglutarate (I) with 5-(1,1-dimethylheptyl)resorcinol (II) by means of POCl3 gives ethyl 7-(1,1-dimethylheptyl)-5-hydroxy-4-methyl-2-oxo-2H-1-benzopyran-3-propionate (III), which is cyclized by means of NaH in DMSO yielding 3-(1,1-dimethylheptyl)-7,10-dihydro-1-hydroxy-6H-dibenzo[b,d]pyran-6,9-(8H)-dione (IV). The ketalization of (IV) with ethylene glycol (A) and p-toluenesulfonic acid affords the ketal (V), which by a Grignard reaction with methylmagnesium iodide in refluxing ether is converted into dl-3-(1,1-dimethylheptyl)-6,6a,7,8-tetrahydro-1-hydroxy-6,6-dimethyl-9H-dibenzo[b,d]pyran-9-one (VI). Finally, this compound is reduced with Li in liquid ammonia.

参考文献No.701008
标题:Hexahydro-dibenzo[b,d]pyran-9-ones as an anti-anxiety drug
作者:Archer, R.A.
来源:DE 2451932; ES 431675; FR 2249663; GB 1487636; JP 50082073; NL 7414437; US 3928598
合成路线图解说明:

The condensation of diethyl 2-acetylglutarate (I) with 5-(1,1-dimethylheptyl)resorcinol (II) by means of POCl3 gives ethyl 7-(1,1-dimethylheptyl)-5-hydroxy-4-methyl-2-oxo-2H-1-benzopyran-3-propionate (III), which is cyclized by means of NaH in DMSO yielding 3-(1,1-dimethylheptyl)-7,10-dihydro-1-hydroxy-6H-dibenzo[b,d]pyran-6,9-(8H)-dione (IV). The ketalization of (IV) with ethylene glycol (A) and p-toluenesulfonic acid affords the ketal (V), which by a Grignard reaction with methylmagnesium iodide in refluxing ether is converted into dl-3-(1,1-dimethylheptyl)-6,6a,7,8-tetrahydro-1-hydroxy-6,6-dimethyl-9H-dibenzo[b,d]pyran-9-one (VI). Finally, this compound is reduced with Li in liquid ammonia.

参考文献No.701009
标题:Hexahydro-dibenzo[b,d]pyran-9-ones as psychotropic, particularly anti-depressant drugs
作者:Archer, R.A.
来源:US 3953603
合成路线图解说明:

The condensation of diethyl 2-acetylglutarate (I) with 5-(1,1-dimethylheptyl)resorcinol (II) by means of POCl3 gives ethyl 7-(1,1-dimethylheptyl)-5-hydroxy-4-methyl-2-oxo-2H-1-benzopyran-3-propionate (III), which is cyclized by means of NaH in DMSO yielding 3-(1,1-dimethylheptyl)-7,10-dihydro-1-hydroxy-6H-dibenzo[b,d]pyran-6,9-(8H)-dione (IV). The ketalization of (IV) with ethylene glycol (A) and p-toluenesulfonic acid affords the ketal (V), which by a Grignard reaction with methylmagnesium iodide in refluxing ether is converted into dl-3-(1,1-dimethylheptyl)-6,6a,7,8-tetrahydro-1-hydroxy-6,6-dimethyl-9H-dibenzo[b,d]pyran-9-one (VI). Finally, this compound is reduced with Li in liquid ammonia.

Drug Information Express,Drug R&D,Chemical Database,Patent Search.
Copyright © 2006-2026 Drug Future. All rights reserved.Contact Us