【药物名称】Alizapride, Limican, Liticum
化学结构式(Chemical Structure):
参考文献No.46967
标题:N-(1'-allypyrrolidinyl-2'-methyl)-2-methoxy-4,5-azimido benzamide and its pharmaceutically acceptable salts
作者:Bulteau, G.; Acher, J.; Collignon, C.; Monier, J.-C. (Societe d'Etudes Scientifiques et Industrielles de L'Ile de France)
来源:US 4039672
合成路线图解说明:

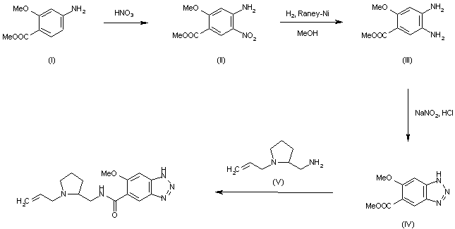
The nitration of methyl 2-methoxy-4-aminobenzoate (I) with nitric acid in acetic acid-acetic anhydride, followed by hydrolysis with methanolic H2SO4 gives methyl 2-methoxy-4-amino-5-nitrobenzoate (II), which is reduced with H2 over Raney-Ni in methanol to yield methyl-2-methoxy-4,5-diaminohenzoate (III). The cyclization of (III) with NaNO2 in aqueous HCl affords methyl 6-methoxybenzotriazole-5-carboxylate (IV), which is finally condensed with 1-allylpyrrolidin-2-ylmethylamine (V) in refluxing toluene.

参考文献No.313599
标题:Alizapride
作者:Leeson, P.A.; Serradell, M.N.; Casta馿r, J.; Blancafort, P.; Mealy, N.E.
来源:Drugs Fut 1981,6(1),11
合成路线图解说明:

The nitration of methyl 2-methoxy-4-aminobenzoate (I) with nitric acid in acetic acid-acetic anhydride, followed by hydrolysis with methanolic H2SO4 gives methyl 2-methoxy-4-amino-5-nitrobenzoate (II), which is reduced with H2 over Raney-Ni in methanol to yield methyl-2-methoxy-4,5-diaminohenzoate (III). The cyclization of (III) with NaNO2 in aqueous HCl affords methyl 6-methoxybenzotriazole-5-carboxylate (IV), which is finally condensed with 1-allylpyrrolidin-2-ylmethylamine (V) in refluxing toluene.

Drug Information Express,Drug R&D,Chemical Database,Patent Search.
Copyright © 2006-2026 Drug Future. All rights reserved.Contact Us