【药物名称】Amoxapine, CL-67772, Asendin
化学结构式(Chemical Structure):
参考文献No.313544
标题:Amoxapine
作者:Playle, A.C.; Casta馿r, J.
来源:Drugs Fut 1976,1(11),511
合成路线图解说明:

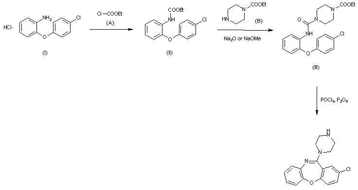
The reaction of O-(p-chlorophenoxy)aniline hydrochloride (I) with ethyl chlorocarbonate (A) in pyridine ether gives ethyl O-(p-chlorophenoxy)phenylcarbanilate (II), which is condensed with N-carbetoxypiperazine (B) by means of Na2O or NaOCH3 in refluxing benzene to afford ethyl 4-[(O-(p-chlorophenoxy)phenyl)carbamoyl]-1-piperazine carboxylate (III). This product is finally decarboxylated and cyclized with P2O5 in refluxing POCl3.

合成路线图解说明:

The condensation of 11-amino-2-chlorodibenzo[b,f][1,4]oxazepine (IV) with piperazine (A) by means of aluminum chloride at 100 C.

参考文献No.701144
标题:Treatment of depression with 2-chloro-11-(pipeazinyl)dibenz[b,f][1,4]oxazepines and acid addition salts thereof
作者:Howell, C.F.; et al.
来源:BE 0698690; FR 7845M; GB 1192812; GB 1192812; NL 6706970; US 3663696; US 3681357
合成路线图解说明:

The reaction of O-(p-chlorophenoxy)aniline hydrochloride (I) with ethyl chlorocarbonate (A) in pyridine ether gives ethyl O-(p-chlorophenoxy)phenylcarbanilate (II), which is condensed with N-carbetoxypiperazine (B) by means of Na2O or NaOCH3 in refluxing benzene to afford ethyl 4-[(O-(p-chlorophenoxy)phenyl)carbamoyl]-1-piperazine carboxylate (III). This product is finally decarboxylated and cyclized with P2O5 in refluxing POCl3.

参考文献No.701145
标题:Nouveau proc閐?pour la pr閜aration des 11-tert-aminodibenz[b,f][1,4]oxaz閜ines et thiaz閜ines
作者:Howell, C.F.; et al.
来源:DE 1645954; ES 335760; FR 1508536; US 3444169
合成路线图解说明:

The condensation of 11-amino-2-chlorodibenzo[b,f][1,4]oxazepine (IV) with piperazine (A) by means of aluminum chloride at 100 C.

Drug Information Express,Drug R&D,Chemical Database,Patent Search.
Copyright © 2006-2026 Drug Future. All rights reserved.Contact Us