【药物名称】Oxandrolone, NSC-67068, SC-11585, Hepandrin, Lonavar, Oxandrin, Anavar
化学结构式(Chemical Structure):
参考文献No.59236
标题:Process for the synthesis of oxandrolone
作者:Cabaj, J.E.; Kairys, D.L.; Zizelman, P.M.
来源:WO 02100881
合成路线图解说明:

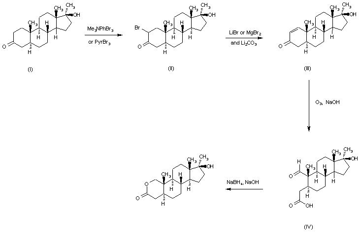
The bromination of 17-beta-hydroxy-17-alpha-methyl-5-alpha-androstan-3-one (I) with Me3NPhBr3 or PyrBr3 gives the 2-bromo derivative (II), which is dehydrobrominated by means of LiBr or MgBr2 and Li2CO3 in hot DMF to yield 17-beta-hydroxy-17-alpha-methyl-5-alpha-1-androsten-3-one (III). The ozonolysis of (III) with ozone and NaOH in methanol affords the seco intermediate (IV), which is finally reductocyclized by means of NaBH4 and NaOH in methanol to provide the target oxa-androstane derivative.

参考文献No.60851
标题:New process for the synthesis of 17beta-hydroxy-17alpha-methyl-2-oxa-5alpha-androstane-3-one
作者:Tuba, Z.; Mah? S.; S醤ta, C.; Sz閘es, J.; Ferenczi, K.; Horv醫h, P.; L醤cos, K.; Mester, T.; Trompler, ? (Gedeon Richter Ltd.)
来源:EP 1189925; WO 0077025
合成路线图解说明:

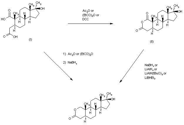
The reaction of the secoandrostane dicarboxylic acid (I) with acetic anhydride, propionic anhydride or DCC in THF gives the corresponding anhydride (II), which is reduced with NaBH4, LiAlH4, LiAlH(t-BuO)3 or LiBHEt3 in DMF or THF to afford the target 2-oxaandrostane derivative. Alternatively, this synthesis can also be performed in a one pot reaction. Reaction of the seco diacid (I) with acetic or propionic anhydrides and further reduction with NaBH4 yields the target 2-oxaandrostane derivative, without isolation of the intermediate anhydride.

参考文献No.64958
标题:17-Oxygenated-2-oxa-3-oxosteroids
作者:Pappo, R. (Pfizer Inc.)
来源:DE 1171425; GB 0968206
合成路线图解说明:

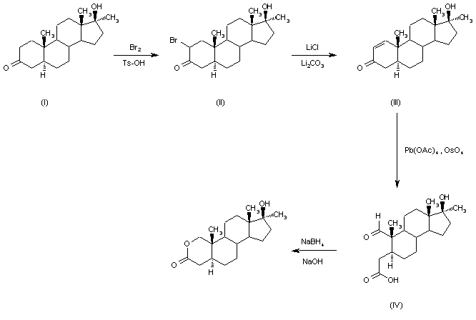
The bromination of 17beta-hydroxy-17alpha-methyl-5alpha-androstan-3-one (I) with Br2 in DMF gives the 2-bromo derivative (II), which is treated with LiCl and Li2CO3 in refluxing DMF to yield 17beta-hydroxy-17alpha-methyl-5alpha-androst-1-en-3-one (III) (1). The oxidative cleavage of (III) by means of Pb(OAc)4 and OsO4 in AcOH affords the seco steroid (IV), which is finally submitted to a reductive cyclization by means of NaBH4 and NaOH in water to provide the target 2-oxa steroid (1-3).

参考文献No.64959
标题:Optionally 17-alkylated 17-oxygenated-2-oxaandrostanes and intermediates
作者:Jung, C.; Pappo, R. (Pfizer Inc.)
来源:GB 0991497; US 3101349
合成路线图解说明:

The bromination of 17beta-hydroxy-17alpha-methyl-5alpha-androstan-3-one (I) with Br2 in DMF gives the 2-bromo derivative (II), which is treated with LiCl and Li2CO3 in refluxing DMF to yield 17beta-hydroxy-17alpha-methyl-5alpha-androst-1-en-3-one (III) (1). The oxidative cleavage of (III) by means of Pb(OAc)4 and OsO4 in AcOH affords the seco steroid (IV), which is finally submitted to a reductive cyclization by means of NaBH4 and NaOH in water to provide the target 2-oxa steroid (1-3).

参考文献No.65414
标题:17-Oxygenated oxa-steroids and intermediates thereto
作者:Pappo, R. (Pfizer Inc.)
来源:GB 970446; US 3128283
合成路线图解说明:

The bromination of 17beta-hydroxy-17alpha-methyl-5alpha-androstan-3-one (I) with Br2 in DMF gives the 2-bromo derivative (II), which is treated with LiCl and Li2CO3 in refluxing DMF to yield 17beta-hydroxy-17alpha-methyl-5alpha-androst-1-en-3-one (III) (1). The oxidative cleavage of (III) by means of Pb(OAc)4 and OsO4 in AcOH affords the seco steroid (IV), which is finally submitted to a reductive cyclization by means of NaBH4 and NaOH in water to provide the target 2-oxa steroid (1-3).

Drug Information Express,Drug R&D,Chemical Database,Patent Search.
Copyright © 2006-2026 Drug Future. All rights reserved.Contact Us