【药物名称】Sultopride, Barnotil, Barnetil
化学结构式(Chemical Structure):
参考文献No.313538
标题:Sultopride
作者:Neuman, M.; Casta馿r, J.; Prous, J.R.
来源:Drugs Fut 1976,1(2),83
合成路线图解说明:

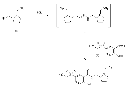
Prepared by reacting 1-ethyl-2-aminomethylpyrrolidine (I) in pyridine with PCl3 to give the intermediate (II), which is condensed with 2-methoxy-5-ethylsulfonylbenzoic acid (III).

参考文献No.701118
标题:Proc閐?de pr閜aration du N-(1-閠hyl-2-pyrrolidylm閠hyl)-2-m閠hoxy-5-閠hylsulfonyl benzamide
作者:
来源:BE 0800232; FR 2187309; ZA 7303694
合成路线图解说明:

Prepared by reacting 1-ethyl-2-aminomethylpyrrolidine (I) in pyridine with PCl3 to give the intermediate (II), which is condensed with 2-methoxy-5-ethylsulfonylbenzoic acid (III).

Drug Information Express,Drug R&D,Chemical Database,Patent Search.
Copyright © 2006-2026 Drug Future. All rights reserved.Contact Us