【药物名称】Tiapride hydrochloride, Gramalil, Tiapridal
化学结构式(Chemical Structure):
参考文献No.313534
标题:Tiapride
作者:Neuman, M.; Prous, J.R.
来源:Drugs Fut 1976,1(2),88
合成路线图解说明:

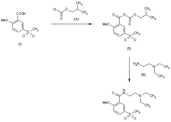
Prepared by reacting 2-methoxy-5-methylsulfonylbenzoic acid (I) with isobutyl chloroformate (A) in dioxane to give the corresponding anhydride (II), which is finally condensed with N,N-diethylethylenediamine (B).

参考文献No.701115
标题:Process for preparing benzamides
作者:Bulteau, G.; Acher, J.
来源:CH 585699; DE 2327192; GB 1394563; JP 49085037
合成路线图解说明:

Prepared by reacting 2-methoxy-5-methylsulfonylbenzoic acid (I) with isobutyl chloroformate (A) in dioxane to give the corresponding anhydride (II), which is finally condensed with N,N-diethylethylenediamine (B).

Drug Information Express,Drug R&D,Chemical Database,Patent Search.
Copyright © 2006-2026 Drug Future. All rights reserved.Contact Us