【药物名称】Alprazolam, U-31889, Xanax XR, Panistat, Xanax
化学结构式(Chemical Structure):
参考文献No.300787
标题:Alprazolam
作者:Casta馿r, J.; Chatterjee, S.S.
来源:Drugs Fut 1976,1(12),551
合成路线图解说明:

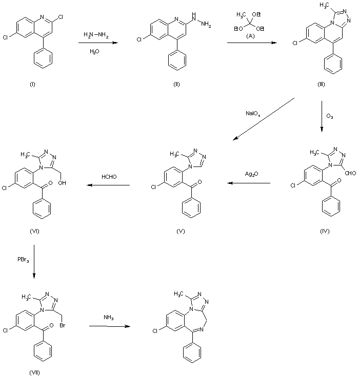
The reaction of 2,6-dichloro-4-phenylquinoline (I) with refluxing hydrazine hydrate gives 6-chloro-2-hydrazino-4-phenylquinoline (II), which is cyclocondensed with triethyl orthoacetate (A) in refluxing xylene yielding 7-chloro-1-methyl-5-phenyl-s-triazolo[4,3-a]quinoline (III). The oxidation of (III) to 5-chloro-2-(3-methyl-4H-1,2,4-triazol-4-yl)benzophenone (V) can be performed with sodium periodate and ruthenium dioxide in acetone-water, or first with ozone in CH2Cl2 giving 4-(2-benzoyl-4-chlorophenyl)-5-methyl-4H-1,2,4-triazol-3-carboxaldehyde (IV), which is then oxidized to (V) with silver oxide in methanol. The condensation of (V) with formaldehyde in xylene at 125 C affords 5-chloro-2-(3-(hydroxymethyl)-5-methyl-4H-1,2,4-triazol-4-yl)benzophenon (VI), which by reaction with PBr3 in chloroform is converted into 5-chloro-2-(3-bromoethyl-5-methyl-4H-1,2,4-triazol-4-yl)benzophenon (VII). Finally, this product is cyclized with ammonia in THF - methanol.

合成路线图解说明:

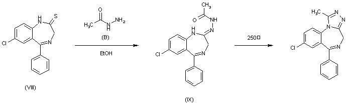
The reaction of 7-chloro-5-phenyl-1,3-dihydro-3H-1,4-benzodiazepine-2-thione (VIII) with acetylhydrazine (B) in refluxing anhydrous ethanol gives 7-chloro-5-phenyl-2-(2-acetylhydrazino)-1,3-dihydro-3H-1,4-benzodiazepine (IX), which is cyclized by heating at 250 C.

合成路线图解说明:

The reaction of 7-chloro-5-phenyl-2-hydrazino-1,3-dihydro-3H-1,4-benzodiazepine (X) with refluxing acetaldehyde (C) gives 7-chloro-5-phenyl-2-ethylydenhydrazino-1,3-dihydro-3H-1,4-benzodiazepine (XI), which is cyclized by refluxing in chloroform (10.5 h) or by heating at 160-72 C (10 min).

参考文献No.701141
标题:Process for the production of triazolobenzodiazepines and intermediates
作者:Hester, J.B. Jr.
来源:DE 2203782; FR 2124559; GB 1374822; GB 1374823; GB 1374824; GB 1374825; JP 49066679; US 3709898
合成路线图解说明:

The reaction of 2,6-dichloro-4-phenylquinoline (I) with refluxing hydrazine hydrate gives 6-chloro-2-hydrazino-4-phenylquinoline (II), which is cyclocondensed with triethyl orthoacetate (A) in refluxing xylene yielding 7-chloro-1-methyl-5-phenyl-s-triazolo[4,3-a]quinoline (III). The oxidation of (III) to 5-chloro-2-(3-methyl-4H-1,2,4-triazol-4-yl)benzophenone (V) can be performed with sodium periodate and ruthenium dioxide in acetone-water, or first with ozone in CH2Cl2 giving 4-(2-benzoyl-4-chlorophenyl)-5-methyl-4H-1,2,4-triazol-3-carboxaldehyde (IV), which is then oxidized to (V) with silver oxide in methanol. The condensation of (V) with formaldehyde in xylene at 125 C affords 5-chloro-2-(3-(hydroxymethyl)-5-methyl-4H-1,2,4-triazol-4-yl)benzophenon (VI), which by reaction with PBr3 in chloroform is converted into 5-chloro-2-(3-bromoethyl-5-methyl-4H-1,2,4-triazol-4-yl)benzophenon (VII). Finally, this product is cyclized with ammonia in THF - methanol.

参考文献No.701142
标题:6-Phenyl-4H-S-triazolo[4,3-a][1,4]benzodiazepines
作者:Hester, J.B. Jr.
来源:DE 2012190; DE 2065893; ES 376689; FR 2034999; GB 1291631; US 3987052
合成路线图解说明:

The reaction of 7-chloro-5-phenyl-1,3-dihydro-3H-1,4-benzodiazepine-2-thione (VIII) with acetylhydrazine (B) in refluxing anhydrous ethanol gives 7-chloro-5-phenyl-2-(2-acetylhydrazino)-1,3-dihydro-3H-1,4-benzodiazepine (IX), which is cyclized by heating at 250 C.

参考文献No.701143
标题:Benzodiazepines and the manufacture thereof
作者:Hester, J.B. Jr.
来源:CH 574425; DE 2242938; FR 2154474; GB 1382605; JP 48034894
合成路线图解说明:

The reaction of 7-chloro-5-phenyl-2-hydrazino-1,3-dihydro-3H-1,4-benzodiazepine (X) with refluxing acetaldehyde (C) gives 7-chloro-5-phenyl-2-ethylydenhydrazino-1,3-dihydro-3H-1,4-benzodiazepine (XI), which is cyclized by refluxing in chloroform (10.5 h) or by heating at 160-72 C (10 min).

Drug Information Express,Drug R&D,Chemical Database,Patent Search.
Copyright © 2006-2026 Drug Future. All rights reserved.Contact Us