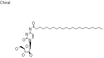
【药物名称】Enocitabine, NSC-239336, BHAC, Sunrabin
化学结构式(Chemical Structure):
参考文献No.47577
标题:Process for preparing N4-acylcytarabines
作者:Ishida, T.; et al. (Asahi Chemical Industry Co., Ltd.)
来源:JP 52007974
合成路线图解说明:

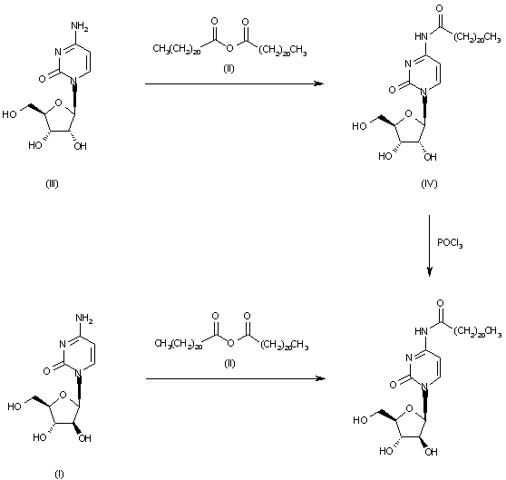
This compound can be obtained in two different ways: 1) By condensation of 1-beta-D-arabinofuranosylcytosine (I) with docosanoyl anhydride (II) in hot dioxane. 2) By acylation of cytidine (III) with docosanoyl anhydride (II) as before to give N4-docosanoylcytidine (IV), which is then isomerized by treatment with POCl3 in ethyl acetate.

参考文献No.312115
标题:Behenoyl Ara-C
作者:Serradell, M.N.; Cabanillas, F.; Casta馿r, J.; Blancafort, P.
来源:Drugs Fut 1980,5(12),603
合成路线图解说明:

This compound can be obtained in two different ways: 1) By condensation of 1-beta-D-arabinofuranosylcytosine (I) with docosanoyl anhydride (II) in hot dioxane. 2) By acylation of cytidine (III) with docosanoyl anhydride (II) as before to give N4-docosanoylcytidine (IV), which is then isomerized by treatment with POCl3 in ethyl acetate.

参考文献No.700917
标题:N4-Acylarabinonucleosides and the preparation thereof
作者:Ishida, T.; et al.
来源:DE 426304; FR 2231388; GB 1449708; JP 50018482
合成路线图解说明:

This compound can be obtained in two different ways: 1) By condensation of 1-beta-D-arabinofuranosylcytosine (I) with docosanoyl anhydride (II) in hot dioxane. 2) By acylation of cytidine (III) with docosanoyl anhydride (II) as before to give N4-docosanoylcytidine (IV), which is then isomerized by treatment with POCl3 in ethyl acetate.

参考文献No.700918
标题:N4-Acylarabinonucleosides apparatus for handling articles
作者:Ishida, T.; et al.
来源:DE 2461862; FR 2342070; JP 51019777
合成路线图解说明:

This compound can be obtained in two different ways: 1) By condensation of 1-beta-D-arabinofuranosylcytosine (I) with docosanoyl anhydride (II) in hot dioxane. 2) By acylation of cytidine (III) with docosanoyl anhydride (II) as before to give N4-docosanoylcytidine (IV), which is then isomerized by treatment with POCl3 in ethyl acetate.

参考文献No.700920
标题:
作者:Ishida, T.; et al.
来源:JP 7632573
合成路线图解说明:

This compound can be obtained in two different ways: 1) By condensation of 1-beta-D-arabinofuranosylcytosine (I) with docosanoyl anhydride (II) in hot dioxane. 2) By acylation of cytidine (III) with docosanoyl anhydride (II) as before to give N4-docosanoylcytidine (IV), which is then isomerized by treatment with POCl3 in ethyl acetate.

参考文献No.700921
标题:
作者:Ishida, T.; et al.
来源:JP 7648679
合成路线图解说明:

This compound can be obtained in two different ways: 1) By condensation of 1-beta-D-arabinofuranosylcytosine (I) with docosanoyl anhydride (II) in hot dioxane. 2) By acylation of cytidine (III) with docosanoyl anhydride (II) as before to give N4-docosanoylcytidine (IV), which is then isomerized by treatment with POCl3 in ethyl acetate.

参考文献No.700922
标题:
作者:Ishida, T.; et al.
来源:JP 7626884
合成路线图解说明:

This compound can be obtained in two different ways: 1) By condensation of 1-beta-D-arabinofuranosylcytosine (I) with docosanoyl anhydride (II) in hot dioxane. 2) By acylation of cytidine (III) with docosanoyl anhydride (II) as before to give N4-docosanoylcytidine (IV), which is then isomerized by treatment with POCl3 in ethyl acetate.

参考文献No.800239
标题:The synthesis of new derivatives of 1-beta-D-arabinofuranosylcytosine
作者:Akiyama, M.; et al.
来源:Chem Pharm Bull 1978,26(3),981-984
合成路线图解说明:

This compound can be obtained in two different ways: 1) By condensation of 1-beta-D-arabinofuranosylcytosine (I) with docosanoyl anhydride (II) in hot dioxane. 2) By acylation of cytidine (III) with docosanoyl anhydride (II) as before to give N4-docosanoylcytidine (IV), which is then isomerized by treatment with POCl3 in ethyl acetate.

Drug Information Express,Drug R&D,Chemical Database,Patent Search.
Copyright © 2006-2026 Drug Future. All rights reserved.Contact Us