【药物名称】Thalidomide, NSC-66847, K-17, Talizer, Thalomid, Synovir
化学结构式(Chemical Structure):
参考文献No.59256
标题:Novel products of the amino-piperidine-2,6-dione series
作者:(Gr黱enthal GmbH)
来源:GB 0768821
合成路线图解说明:

The reaction of 2-(phthalimido)glutaric acid (I) with acetic anhydride and SOCl2 gives 2-(phthalimido)glutaric anhydride (II), which is treated with urea at 180 C to yield the target thalidomide. Alternatively, anhydride (II) can also be treated with ammonia in dioxane at 180 C in a pressure vessel.

参考文献No.59257
标题:Derivs. of phthalimidines
作者:Frankus, E.; Graudums, I.; Muckter, H. (Gr黱enthal GmbH)
来源:GB 1185273
合成路线图解说明:

The reaction of 2-(phthalimido)glutaric acid (I) with acetic anhydride and SOCl2 gives 2-(phthalimido)glutaric anhydride (II), which is treated with urea at 180 C to yield the target thalidomide. Alternatively, anhydride (II) can also be treated with ammonia in dioxane at 180 C in a pressure vessel.

参考文献No.528916
标题:A two step synthesis of thalidomide
作者:Muller, G.W.; et al.
来源:217th ACS Natl Meet (March 21 1999, Anaheim) 1999,Abst ORGN 079
合成路线图解说明:

A new scaleable two-step synthesis of thalidomide was reported: The reaction of L-glutamine (I) with N-(ethoxycarbonyl)phthalimide (II) gives the N-phthaloyl-L-glutamine (III), which is finally cyclized by means of carbonyldimidazole (CDI) and dimethylaminopyridine.

参考文献No.563499
标题:A concise two-step synthesis of thalidomide
作者:Muller, G.W.; et al.
来源:Org Process Res Dev 1999,3(2),139
合成路线图解说明:

A new scaleable two-step synthesis of thalidomide was reported: The reaction of L-glutamine (I) with N-(ethoxycarbonyl)phthalimide (II) gives the N-phthaloyl-L-glutamine (III), which is finally cyclized by means of carbonyldimidazole (CDI) and dimethylaminopyridine.

参考文献No.626779
标题:Microwave promoted synthesis of a rehabilitated drug: Thalidomide
作者:Vazquez-Tato, M.P.; Pacios-Lopez, B.; Martinez, M.M.; Gonzalez-Bando, C.; Seijas, J.A.
来源:Synthesis (Stuttgart) 2001,(7),999
合成路线图解说明:

A new direct synthesis of thalidomide has been reported: Reaction of the commercially available N-phthaloyl-L-glutamic acid (I) with either urea (II) or thiourea (III) under microwave irradiation (1000 W output) provides thalidomide in 63 or 85% yield, respectively.

参考文献No.685837
标题:Solid-phase synthesis of thalidomide and its analogues
作者:Xiao, Z.; Schaefer, K.; Firestine, S.; Li, P.-K.
来源:J Comb Chem 2002,4(2),149
合成路线图解说明:

A novel solid-phase synthesis of thalidomide has been described: The coupling of phthalic anhydride (I) with hydroxymethyl polystyrene resin (II) by means of triethylamine and 4-dimethylaminopyridine (DMAP) in DMF affords the resin-linked acid (III), which is then condensed with alpha-aminoglutarimide (IV) by means of diisopropylcarbodiimide (DIC) and N-hydroxybenzotriazole (HOBt) in DMF to provide amide (V). Finally, thalidomide is obtained by treatment of resin (V) with TFA in refluxing toluene.

参考文献No.710889
标题:A convenient asymmetric synthesis of thalidomide
作者:Robin, S.; et al.
来源:Tetrahedron Asymmetry 1995,6(6),1249
合成路线图解说明:

The esterification of N-(tert-butoxycarbonyl)-D-glutamic acid 5-O-benzyl ester (I) with phenol by means of DCC and pyridine in ethyl acetate gives the mixed ester (II), which is treated with H2 over Pd/C in methanol to yield the N-(tert-butoxycarbonyl)-D-glutamic acid 1-O-phenyl ester (III). The cyclization of (III) with O-benzylhydroxylamine (IV) by means of EDC, HOBT and TEA in dichloromethane affords N-[1-(benzyloxy)-2,6-dioxopiperidin-3(R)-yl]carbamic acid tert-butyl ester (V), which is treated with HCl gas in dichloromethane to provide 3(R)-amino-1-(benzyloxy)piperidine-2,6-dione (VI). The reaction of (VI) with phthalic anhydride (VII) by means of TEA in THF gives the phthalimido derivative (VIII), which is debenzylated with H2 over Pd/C in methanol to yield 1-hydroxy-3-(R)-(phthalimido)piperidine-2,6-dione (IX). Finally, the OH group of (IX) is eliminated by reaction with phenacyl bromide (X) and TEA in acetonitrile to afford the phenacyl ether (XI), which is submitted to a nucleophilic cleavage by means of DMAP as the base to obtain the target (R)-thalidomide.

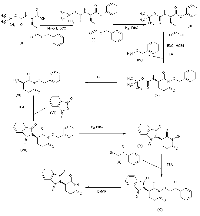
合成路线图解说明:

The esterification of N-(tert-butoxycarbonyl)-L-glutamic acid 5-O-benzyl ester (I) with phenol by means of DCC and pyridine in ethyl acetate gives the mixed ester (II), which is treated with H2 over Pd/C in methanol to yield the N-(tert-butoxycarbonyl)-L-glutamic acid 1-O-phenyl ester (III). The cyclization of (III) with O-benzylhydroxylamine (IV) by means of EDC, HOBT and TEA in dichloromethane affords N-[1-(benzyloxy)-2,6-dioxopiperidin-3(S)-yl]carbamic acid tert-butyl ester (V), which is treated with HCl gas in dichloromethane to provide 3(S)-amino-1-(benzyloxy)piperidine-2,6-dione (VI). The reaction of (VI) with phthalic anhydride (VII) by means of TEA in THF gives the phthalimido derivative (VIII), which is debenzylated with H2 over Pd/C in methanol to yield 1-hydroxy-3-(S)-(phthalimido)piperidine-2,6-dione (IX). Finally the OH group of (IX) is eliminated by reaction with phenacyl bromide (X) and TEA in acetonitrile to afford the phenacyl ether (XI), which is submitted to a nucleophilic cleavage by means of DMAP as the base to obtain the target (S)-thalidomide. Alternatively, the phthalimido derivative (VIII) can also be obtained by reaction of 2(S)-(phthalimido)glutaric anhydride (XII) with O-benzylhydroxylamine (IV) by means of DCC and pyridine in dichloromethane.

Drug Information Express,Drug R&D,Chemical Database,Patent Search.
Copyright © 2006-2026 Drug Future. All rights reserved.Contact Us