【药物名称】Meptazinol hydrochloride, Wy-22811(free base), Meptid
化学结构式(Chemical Structure):
参考文献No.277280
标题:Meptazinol
作者:Thorpe, M.
来源:Drugs Fut 1976,1(2),68
合成路线图解说明:

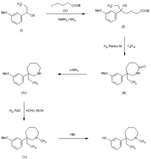
By condensation of 2-(m-methoxyphenyl)butyronitrile (I) with ethyl 4-iodobutyrate (A) by means of NaNH2 in liquid NH3 to give ethyl 5-cyano-5-(m-methoxyphenyl)heptanoate (II), which is cyclized by hydrogenation with H2 over Raney-Ni in C6H12 to yield 6-ethyl-6-(m-methoxyphenyl)hexahydro-2H-azepin-2-one (III); this ketone is reduced with LiAlH4 in THF to 3-ethyl-3-(m-methoxyphenyl)hexahydro-1H-azepine (IV), which in turn, is reductively methylated with HCHO, H2 and Pd/C in ethanol to give 1-methyl-3-ethyl-3-(m-methoxyphenyl)hexahydro-1H-azepine (V), and finally demethylated by refluxing with 80% HBr to yield a racemic mixture of the final product.

合成路线图解说明:

The optically active isomers are obtained as follows: the methoxyazepine (IV) is demethylated with HBr as before to give 3-ethyl-3-(m-hydroxyphenyl) hexahydro-1H-azepine (VI); this product, by reaction with D-(+)-tartaric acid and fractionated crystallization can be separated into its (+)-isomer (+)-(VI) and (-)-isomer (-)-(VI). Both isomers are finally reductively methylated with HCHO, H2 and Pd/C in ethanol.

参考文献No.701124
标题:D閞iv鑣 d'hexahydro-1H-az閜ine et leur proc閐?de fabrication
作者:Cavalla, J.F.; White, A.C.
来源:AT 312611B; CH 536843; CH 554864; DE 1941534; FR 2015812
合成路线图解说明:

By condensation of 2-(m-methoxyphenyl)butyronitrile (I) with ethyl 4-iodobutyrate (A) by means of NaNH2 in liquid NH3 to give ethyl 5-cyano-5-(m-methoxyphenyl)heptanoate (II), which is cyclized by hydrogenation with H2 over Raney-Ni in C6H12 to yield 6-ethyl-6-(m-methoxyphenyl)hexahydro-2H-azepin-2-one (III); this ketone is reduced with LiAlH4 in THF to 3-ethyl-3-(m-methoxyphenyl)hexahydro-1H-azepine (IV), which in turn, is reductively methylated with HCHO, H2 and Pd/C in ethanol to give 1-methyl-3-ethyl-3-(m-methoxyphenyl)hexahydro-1H-azepine (V), and finally demethylated by refluxing with 80% HBr to yield a racemic mixture of the final product.

参考文献No.701125
标题:Hexahydroazepines
作者:Cavalla, J.F.; White, A.C.
来源:DE 2105463; FR 2081492; GB 1319785
合成路线图解说明:

The optically active isomers are obtained as follows: the methoxyazepine (IV) is demethylated with HBr as before to give 3-ethyl-3-(m-hydroxyphenyl) hexahydro-1H-azepine (VI); this product, by reaction with D-(+)-tartaric acid and fractionated crystallization can be separated into its (+)-isomer (+)-(VI) and (-)-isomer (-)-(VI). Both isomers are finally reductively methylated with HCHO, H2 and Pd/C in ethanol.

Drug Information Express,Drug R&D,Chemical Database,Patent Search.
Copyright © 2006-2026 Drug Future. All rights reserved.Contact Us