【药物名称】Nalbuphine hydrochloride, EN-2234A, Nubain
化学结构式(Chemical Structure):
参考文献No.277276
标题:Nalbuphine
作者:Casta馿r, J.; Roberts, P.J.
来源:Drugs Fut 1977,2(9),613
合成路线图解说明:

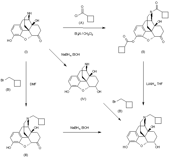
Compound can be prepared in three different ways all starting from 14-hydroxydihydronormorphinone (I): 1) The condensation of (I) with cyclobutanecarboxyl chloride (A) by means of triethylamine in CH2Cl2 gives the bis(cyclobutylcarbonyl) derivative (II), which is then reduced and hydrolyzed with LiAlH4 in THF. 2) The condensation of (I) with cyclobutylmethyl bromide (B) in DMF gives the N-cyclobutylmethyl derivative (III), which is then reduced with NaBH4 in ethanol. 3) The reduction of (I) with NaBH4 as before gives 14-hydroxydihydronormophine (IV), which is then alkylated with cyclobutylmethyl bromide (B) in DMF.

参考文献No.701100
标题:Verfahren zur Herstellung von N-substituierten 14-Hydroxydihydronormorphinen
作者:Blumberg, H.; et al.
来源:CH 493522; DE 1670616; DE 1795707; ES 334942; FR 6112M; GB 1119270
合成路线图解说明:

Compound can be prepared in three different ways all starting from 14-hydroxydihydronormorphinone (I): 1) The condensation of (I) with cyclobutanecarboxyl chloride (A) by means of triethylamine in CH2Cl2 gives the bis(cyclobutylcarbonyl) derivative (II), which is then reduced and hydrolyzed with LiAlH4 in THF. 2) The condensation of (I) with cyclobutylmethyl bromide (B) in DMF gives the N-cyclobutylmethyl derivative (III), which is then reduced with NaBH4 in ethanol. 3) The reduction of (I) with NaBH4 as before gives 14-hydroxydihydronormophine (IV), which is then alkylated with cyclobutylmethyl bromide (B) in DMF.

参考文献No.701101
标题:14-Hydroxydihydronormorphinone derivatives
作者:Blumberg, H.; et al.
来源:US 3332950
合成路线图解说明:

Compound can be prepared in three different ways all starting from 14-hydroxydihydronormorphinone (I): 1) The condensation of (I) with cyclobutanecarboxyl chloride (A) by means of triethylamine in CH2Cl2 gives the bis(cyclobutylcarbonyl) derivative (II), which is then reduced and hydrolyzed with LiAlH4 in THF. 2) The condensation of (I) with cyclobutylmethyl bromide (B) in DMF gives the N-cyclobutylmethyl derivative (III), which is then reduced with NaBH4 in ethanol. 3) The reduction of (I) with NaBH4 as before gives 14-hydroxydihydronormophine (IV), which is then alkylated with cyclobutylmethyl bromide (B) in DMF.

Drug Information Express,Drug R&D,Chemical Database,Patent Search.
Copyright © 2006-2026 Drug Future. All rights reserved.Contact Us