【药物名称】Diflunisal, MK-647, Dolobid
化学结构式(Chemical Structure):
参考文献No.47036
标题:Halo-substituted 5-phenylbenzoic acids and their derivatives
作者:Ruyle, W.V.; et al. (Merck & Co., Inc.)
来源:GB 1175212
合成路线图解说明:

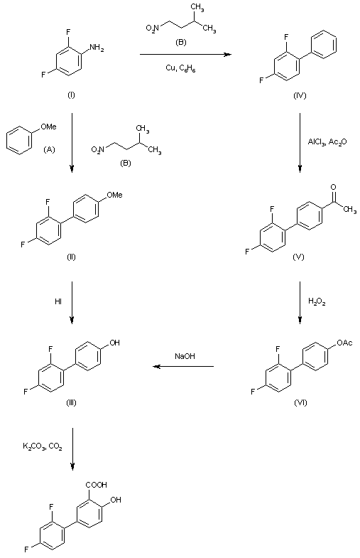
Compound can be prepared in two different ways both starting from 2,4-difluoroaniline (I): 1) The diazotation of (I) with isoamyl nitrite (B) and condensation with anisole (A) gives 4-(2,4-difluorophenyl)anisole (II), which is hydrolyzed with HI in refluxing acetic acid yielding 4-(2,4-difluorophenyl)phenol (III). Finally, this compound is carbonated with K2CO3 and CO2 at 175 C and 1300 p.s.i. 2) The diazotation of (I) with isoamyl nitrite (B) and then condensation with benzene by means of powdered Cu gives 2,4-difluorobiphenyl (IV), which is acetylated with acetic anhydride by means of AlCl3 in CH2Cl2 yielding 4-(2,4-difluorophenyl)acetophenone (V). The oxidation of (V) with H2O2 in refluxing CH2Cl2 affords 4-(2,4-difluorophenyl)phenyl acetate (VI), which can be hydrolyzed with NaOH in refluxing water to give the phenol (III).

参考文献No.47037
标题:Phenyl benzoic acid compounds in compositions and methods for treating inflammation
作者:Ruyle, W.V.; et al. (Merck & Co., Inc.)
来源:US 3674870
合成路线图解说明:

Compound can be prepared in two different ways both starting from 2,4-difluoroaniline (I): 1) The diazotation of (I) with isoamyl nitrite (B) and condensation with anisole (A) gives 4-(2,4-difluorophenyl)anisole (II), which is hydrolyzed with HI in refluxing acetic acid yielding 4-(2,4-difluorophenyl)phenol (III). Finally, this compound is carbonated with K2CO3 and CO2 at 175 C and 1300 p.s.i. 2) The diazotation of (I) with isoamyl nitrite (B) and then condensation with benzene by means of powdered Cu gives 2,4-difluorobiphenyl (IV), which is acetylated with acetic anhydride by means of AlCl3 in CH2Cl2 yielding 4-(2,4-difluorophenyl)acetophenone (V). The oxidation of (V) with H2O2 in refluxing CH2Cl2 affords 4-(2,4-difluorophenyl)phenyl acetate (VI), which can be hydrolyzed with NaOH in refluxing water to give the phenol (III).

参考文献No.47038
标题:Chemical products
作者:Howard, J.; et al. (Merck & Co., Inc.)
来源:DE 2532559; FR 2288729; GB 1496231; GB 1496232; JP 51034135
合成路线图解说明:

Compound can be prepared in two different ways both starting from 2,4-difluoroaniline (I): 1) The diazotation of (I) with isoamyl nitrite (B) and condensation with anisole (A) gives 4-(2,4-difluorophenyl)anisole (II), which is hydrolyzed with HI in refluxing acetic acid yielding 4-(2,4-difluorophenyl)phenol (III). Finally, this compound is carbonated with K2CO3 and CO2 at 175 C and 1300 p.s.i. 2) The diazotation of (I) with isoamyl nitrite (B) and then condensation with benzene by means of powdered Cu gives 2,4-difluorobiphenyl (IV), which is acetylated with acetic anhydride by means of AlCl3 in CH2Cl2 yielding 4-(2,4-difluorophenyl)acetophenone (V). The oxidation of (V) with H2O2 in refluxing CH2Cl2 affords 4-(2,4-difluorophenyl)phenyl acetate (VI), which can be hydrolyzed with NaOH in refluxing water to give the phenol (III).

参考文献No.47276
标题:Process for preparing 4-(2,4-difluorophenyl)-salicyclic acid
作者:Houser, R.W.; Jones, H. (Merck & Co., Inc.)
来源:US 4225730
合成路线图解说明:

Compound can be prepared in two different ways both starting from 2,4-difluoroaniline (I): 1) The diazotation of (I) with isoamyl nitrite (B) and condensation with anisole (A) gives 4-(2,4-difluorophenyl)anisole (II), which is hydrolyzed with HI in refluxing acetic acid yielding 4-(2,4-difluorophenyl)phenol (III). Finally, this compound is carbonated with K2CO3 and CO2 at 175 C and 1300 p.s.i. 2) The diazotation of (I) with isoamyl nitrite (B) and then condensation with benzene by means of powdered Cu gives 2,4-difluorobiphenyl (IV), which is acetylated with acetic anhydride by means of AlCl3 in CH2Cl2 yielding 4-(2,4-difluorophenyl)acetophenone (V). The oxidation of (V) with H2O2 in refluxing CH2Cl2 affords 4-(2,4-difluorophenyl)phenyl acetate (VI), which can be hydrolyzed with NaOH in refluxing water to give the phenol (III).

参考文献No.277269
标题:Diflunisal
作者:Arrigoni-Martelli, E.; Casta馿r, J.
来源:Drugs Fut 1978,3(4),28
合成路线图解说明:

Compound can be prepared in two different ways both starting from 2,4-difluoroaniline (I): 1) The diazotation of (I) with isoamyl nitrite (B) and condensation with anisole (A) gives 4-(2,4-difluorophenyl)anisole (II), which is hydrolyzed with HI in refluxing acetic acid yielding 4-(2,4-difluorophenyl)phenol (III). Finally, this compound is carbonated with K2CO3 and CO2 at 175 C and 1300 p.s.i. 2) The diazotation of (I) with isoamyl nitrite (B) and then condensation with benzene by means of powdered Cu gives 2,4-difluorobiphenyl (IV), which is acetylated with acetic anhydride by means of AlCl3 in CH2Cl2 yielding 4-(2,4-difluorophenyl)acetophenone (V). The oxidation of (V) with H2O2 in refluxing CH2Cl2 affords 4-(2,4-difluorophenyl)phenyl acetate (VI), which can be hydrolyzed with NaOH in refluxing water to give the phenol (III).

参考文献No.601911
标题:A facile preparation of fluoroaryl zinc halides: An application to the synthesis of diflunisal
作者:Lee, S.J.; Chung, S.; Jeong, N.; Choi, K.H.
来源:Bull Korean Chem Soc 2000,21(2),165
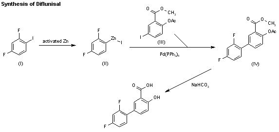
合成路线图解说明:

A facile preparation method for diflunisal has been reported: Reaction of 2,4-difluoroiodobenzene (I) with powdered Zn activated with 1,2-dibromoethane in DMF gives the 2,4-difluorophenylzinc iodide (II), which is condensed with 2-acetoxy-5-iodobenzoic acid methyl ester (III) by means of Pd(PPh3)4 in DMF to yield 4-acetoxy-2',4'-difluorobiphenyl-3-carboxylic acid methyl ester (IV). Finally, this compound is deacetylated and hydrolyzed with NaHCO3 in THF/water.

Drug Information Express,Drug R&D,Chemical Database,Patent Search.
Copyright © 2006-2026 Drug Future. All rights reserved.Contact Us