【药物名称】Triazolam, U-33030, Hypnostat, Halcion
化学结构式(Chemical Structure):
参考文献No.271297
标题:Triazolam
作者:Casta馿r, J.; Chatterjee, S.S.
来源:Drugs Fut 1976,1(8),393
合成路线图解说明:

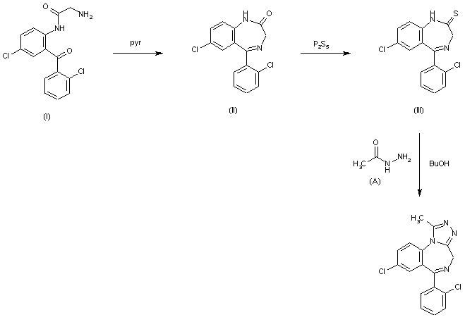
By cyclization of 2-glycylamino-2',5-dichlorobenzenophenone (I) in pyridine to give 7-chloro-5-(o-chlorophenyl)-1,3-dihydro-2H-1,4-benzodiazepin-2-one (II), which was refluxed with P2S5 in pyridine yielding 7-chloro-5-(o-chlorophenyl)-1,3-dihydro-2H-1,4-benzodiazepin-2-thione (III). Finally, this product was condensed with acetylhydrazide (A) in butanol.

参考文献No.701137
标题:6-Phenyl-4H-S-triazolo[4,3-a][1,4]benzodiazepines
作者:Hester, J.B. Jr.
来源:DE 2012190; FR 2034999; GB 1291631; US 3987052
合成路线图解说明:

By cyclization of 2-glycylamino-2',5-dichlorobenzenophenone (I) in pyridine to give 7-chloro-5-(o-chlorophenyl)-1,3-dihydro-2H-1,4-benzodiazepin-2-one (II), which was refluxed with P2S5 in pyridine yielding 7-chloro-5-(o-chlorophenyl)-1,3-dihydro-2H-1,4-benzodiazepin-2-thione (III). Finally, this product was condensed with acetylhydrazide (A) in butanol.

参考文献No.800290
标题:1,4-Benzodiazepines. Chemistry and some aspects of the structure activity relationship
作者:Sternbach, L.H.
来源:Angew Chem 1971,1034-43
合成路线图解说明:

By cyclization of 2-glycylamino-2',5-dichlorobenzenophenone (I) in pyridine to give 7-chloro-5-(o-chlorophenyl)-1,3-dihydro-2H-1,4-benzodiazepin-2-one (II), which was refluxed with P2S5 in pyridine yielding 7-chloro-5-(o-chlorophenyl)-1,3-dihydro-2H-1,4-benzodiazepin-2-thione (III). Finally, this product was condensed with acetylhydrazide (A) in butanol.

Drug Information Express,Drug R&D,Chemical Database,Patent Search.
Copyright © 2006-2026 Drug Future. All rights reserved.Contact Us