【药物名称】Nadolol, SQ-11725, Nadic, Corgaretic, Corgard
化学结构式(Chemical Structure):
参考文献No.800732
标题:Nadolol
作者:Weetman, D.F.; Casta馿r, J.
来源:Drugs Fut 1976,1(9),434
合成路线图解说明:

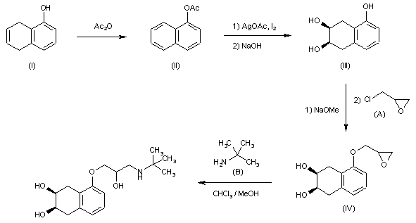
The esterification of 5,8-dihydro-1-naphthol (I) with acetic anhydride gives the corresponding acetate (II), which is oxidized with silver acetate and I2 in acetic acid to yield 2,3-cis-1,2,3,4-tetrahydro-2,3,5-naphthalenetriol (III). The treatment of this product with sodium methylate and epichlorhydrin (A) in methanol gives 2,3-cis-1,2,3,4-tetrahydro-5-(2,3-epoxypropoxy)-2,3-naphthalenediol (IV), which is finally treated with tertbutylamine (B) in chloroform-methanol.

合成路线图解说明:

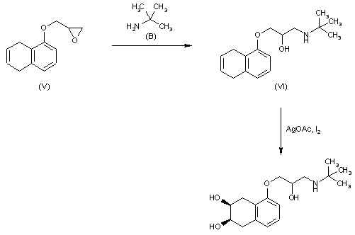
By reaction of 5,8-dihydro-1-(2,3-epoxypropoxy)naphthalene (V) with tertbutylamine (B) to give 5,8-dihydro-1-[2-hydroxy-3-(tertbutylamino)propoxy]naphthalene (VI), followed by oxidation of the double bond with silver acetate and I2 in acetic acid.

参考文献No.800733
标题:Tetrahydronaphthyloxyaminopropanols and related compounds
作者:Hanck, F.P.; et al.
来源:CA 979926; DE 2258995; GB 1358722
合成路线图解说明:

The esterification of 5,8-dihydro-1-naphthol (I) with acetic anhydride gives the corresponding acetate (II), which is oxidized with silver acetate and I2 in acetic acid to yield 2,3-cis-1,2,3,4-tetrahydro-2,3,5-naphthalenetriol (III). The treatment of this product with sodium methylate and epichlorhydrin (A) in methanol gives 2,3-cis-1,2,3,4-tetrahydro-5-(2,3-epoxypropoxy)-2,3-naphthalenediol (IV), which is finally treated with tertbutylamine (B) in chloroform-methanol.

参考文献No.800734
标题:Naphthalene derivatives
作者:Hanck, F.P.; et al.
来源:CA 1041544; DE 2421549; FR 2236489; GB 1464950; JP 50018449
合成路线图解说明:

By reaction of 5,8-dihydro-1-(2,3-epoxypropoxy)naphthalene (V) with tertbutylamine (B) to give 5,8-dihydro-1-[2-hydroxy-3-(tertbutylamino)propoxy]naphthalene (VI), followed by oxidation of the double bond with silver acetate and I2 in acetic acid.

Drug Information Express,Drug R&D,Chemical Database,Patent Search.
Copyright © 2006-2026 Drug Future. All rights reserved.Contact Us