【药物名称】Chandonium iodide, Candocuronium iodide, HS-310
化学结构式(Chemical Structure):
参考文献No.269443
标题:Chandonium iodide
作者:Arya, V.P.
来源:Drugs Fut 1978,3(11),807
合成路线图解说明:

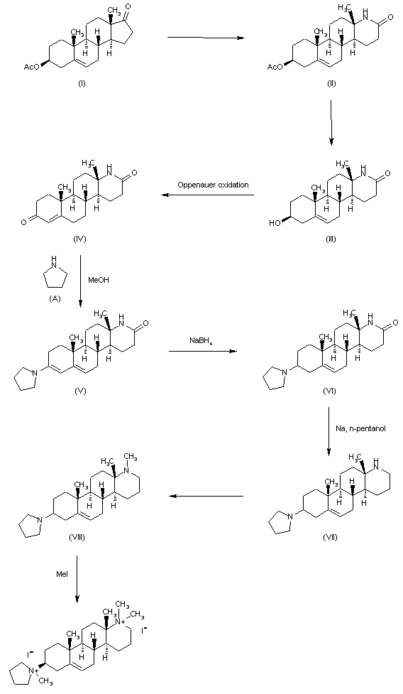
Dehydroepiandrosterone acetate (I) is converted to the lactam (II), which is hydrolyzed to the alcohol (III). Oppenauer oxidation of (III) gives the a,3-unsaturated ketone (IV). The intermediate (IV) is treated with pyrrolidine in methanol to give the enamine (V) in excellent yield. The latter, on sodium borohydride reduction affords (VI), the 3beta- configuration being assigned on the basis of similar reductions reported elsewhere. Sodium and n-pentanol reduction of (VI) leads to the diamine (VII), the methyl derivative (VIII) of which is prepared and converted into the dimethiodide (HS-310).

参考文献No.800598
标题:Recherches sur les amino-st閞o飀es. VI. St閞o飀es ?restes amin閟 fix閟 en C3. Pr閜aration par r閐uction au borohydrurre de sodium et au diborane des "閚amines" deriv閑s de c閠o-3
作者:Schmitt, J.; et al.
来源:Bull Soc Chim France 1963,807-815
合成路线图解说明:

Dehydroepiandrosterone acetate (I) is converted to the lactam (II), which is hydrolyzed to the alcohol (III). Oppenauer oxidation of (III) gives the a,3-unsaturated ketone (IV). The intermediate (IV) is treated with pyrrolidine in methanol to give the enamine (V) in excellent yield. The latter, on sodium borohydride reduction affords (VI), the 3beta- configuration being assigned on the basis of similar reductions reported elsewhere. Sodium and n-pentanol reduction of (VI) leads to the diamine (VII), the methyl derivative (VIII) of which is prepared and converted into the dimethiodide (HS-310).

参考文献No.800599
标题:Reduction od steroidal enamines
作者:Marshall, J.A.; Johnson, W.S.
来源:J Org Chem 1963,28421-423
合成路线图解说明:

Dehydroepiandrosterone acetate (I) is converted to the lactam (II), which is hydrolyzed to the alcohol (III). Oppenauer oxidation of (III) gives the a,3-unsaturated ketone (IV). The intermediate (IV) is treated with pyrrolidine in methanol to give the enamine (V) in excellent yield. The latter, on sodium borohydride reduction affords (VI), the 3beta- configuration being assigned on the basis of similar reductions reported elsewhere. Sodium and n-pentanol reduction of (VI) leads to the diamine (VII), the methyl derivative (VIII) of which is prepared and converted into the dimethiodide (HS-310).

参考文献No.800600
标题:Steroids and related studies. Part XXV. Chandonium iodide (17alpha-Methyl-3beta-pyrrolidino-17alpha-aza-D-homoandrost-5-ene-Dimethyliodide) and other quaternary ammonium steroid analogues
作者:Singh, H.; Paul, D.
来源:J Chem Soc - Perkins Trans I 1974,1476
合成路线图解说明:

Dehydroepiandrosterone acetate (I) is converted to the lactam (II), which is hydrolyzed to the alcohol (III). Oppenauer oxidation of (III) gives the a,3-unsaturated ketone (IV). The intermediate (IV) is treated with pyrrolidine in methanol to give the enamine (V) in excellent yield. The latter, on sodium borohydride reduction affords (VI), the 3beta- configuration being assigned on the basis of similar reductions reported elsewhere. Sodium and n-pentanol reduction of (VI) leads to the diamine (VII), the methyl derivative (VIII) of which is prepared and converted into the dimethiodide (HS-310).

Drug Information Express,Drug R&D,Chemical Database,Patent Search.
Copyright © 2006-2026 Drug Future. All rights reserved.Contact Us