【药物名称】Piritetrate, Liranaftate, M-732, Zefnart
化学结构式(Chemical Structure):
参考文献No.15641
标题:Carbamate derivs
作者:Takematsu, T.; Konnai, M.; Morinaka, H.; Nonaka, Y.; Nakanishi, A.; Tsuzuki, K.; Hashihama, M.; Uwotani, T. (Toyo Soda)
来源:BE 0897021; GB 2124617
合成路线图解说明:

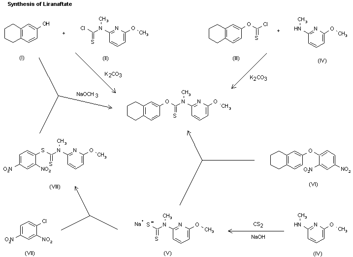
This compound can be obtained by four different ways: 1) By condensation of 5,6,7,8-tetrahydro-2-naphthol (I) with N-(6-methoxy-2-pyridyl)-N-methylthiocarbamoyl chloride (II) by means of K2CO3 in refluxing butanone. 2) By condensation of 2-naphthyloxythiocarbonyl chloride (III) with 6-methoxy-2-(methylamino)pyridine (IV) by means of K2CO3 in acetone. 3) The reaction of pyridine (IV) with CS2 and NaOH in THF gives N-(6-methoxy-2-pyridyl)-N-methyldithiocarbamic acid sodium salt (V), which is then condensed with 2-(2,4-dinitrophenoxy)-5,6,7,8-tetrahydronaphthalene (VI) in DMF. 4) The reaction of the dithiocarbamate (V) with 2,4-dinitrochlorobenzene (VII) in ethanol gives N-(6-methoxy-2-pyridyl)-N-methyldithiocarbamic acid 2,4-dinitrophenyl ester (VIII), which is then treated with naphthol (I) and sodium methoxide in DMF.

参考文献No.15642
标题:Antifungal compsns. containing carbamates
作者:Iwata, K.; Takematsu, T.; Nonaka, Y.; Nakanishi, A.; Morinaka, H.; Tsuzuki, K.; Murakami, M.; Uotani, T. (Toyo Soda)
来源:EP 0144570; JP 1985058916
合成路线图解说明:

This compound can be obtained by four different ways: 1) By condensation of 5,6,7,8-tetrahydro-2-naphthol (I) with N-(6-methoxy-2-pyridyl)-N-methylthiocarbamoyl chloride (II) by means of K2CO3 in refluxing butanone. 2) By condensation of 2-naphthyloxythiocarbonyl chloride (III) with 6-methoxy-2-(methylamino)pyridine (IV) by means of K2CO3 in acetone. 3) The reaction of pyridine (IV) with CS2 and NaOH in THF gives N-(6-methoxy-2-pyridyl)-N-methyldithiocarbamic acid sodium salt (V), which is then condensed with 2-(2,4-dinitrophenoxy)-5,6,7,8-tetrahydronaphthalene (VI) in DMF. 4) The reaction of the dithiocarbamate (V) with 2,4-dinitrochlorobenzene (VII) in ethanol gives N-(6-methoxy-2-pyridyl)-N-methyldithiocarbamic acid 2,4-dinitrophenyl ester (VIII), which is then treated with naphthol (I) and sodium methoxide in DMF.

参考文献No.15643
标题:Fungicidal compsn
作者:Takematsu, T.; Nonaka, Y.; Nakanishi, A.; Morinaka, H. (Toyo Soda)
来源:EP 0194562
合成路线图解说明:

This compound can be obtained by four different ways: 1) By condensation of 5,6,7,8-tetrahydro-2-naphthol (I) with N-(6-methoxy-2-pyridyl)-N-methylthiocarbamoyl chloride (II) by means of K2CO3 in refluxing butanone. 2) By condensation of 2-naphthyloxythiocarbonyl chloride (III) with 6-methoxy-2-(methylamino)pyridine (IV) by means of K2CO3 in acetone. 3) The reaction of pyridine (IV) with CS2 and NaOH in THF gives N-(6-methoxy-2-pyridyl)-N-methyldithiocarbamic acid sodium salt (V), which is then condensed with 2-(2,4-dinitrophenoxy)-5,6,7,8-tetrahydronaphthalene (VI) in DMF. 4) The reaction of the dithiocarbamate (V) with 2,4-dinitrochlorobenzene (VII) in ethanol gives N-(6-methoxy-2-pyridyl)-N-methyldithiocarbamic acid 2,4-dinitrophenyl ester (VIII), which is then treated with naphthol (I) and sodium methoxide in DMF.

参考文献No.15645
标题:Process for the preparation of thiocarbamate derivs
作者:Goda, H.; Kawamura, M.; Kato, K.; Kimura, N.; Sato, M.
来源:JP 1987048667
合成路线图解说明:

This compound can be obtained by four different ways: 1) By condensation of 5,6,7,8-tetrahydro-2-naphthol (I) with N-(6-methoxy-2-pyridyl)-N-methylthiocarbamoyl chloride (II) by means of K2CO3 in refluxing butanone. 2) By condensation of 2-naphthyloxythiocarbonyl chloride (III) with 6-methoxy-2-(methylamino)pyridine (IV) by means of K2CO3 in acetone. 3) The reaction of pyridine (IV) with CS2 and NaOH in THF gives N-(6-methoxy-2-pyridyl)-N-methyldithiocarbamic acid sodium salt (V), which is then condensed with 2-(2,4-dinitrophenoxy)-5,6,7,8-tetrahydronaphthalene (VI) in DMF. 4) The reaction of the dithiocarbamate (V) with 2,4-dinitrochlorobenzene (VII) in ethanol gives N-(6-methoxy-2-pyridyl)-N-methyldithiocarbamic acid 2,4-dinitrophenyl ester (VIII), which is then treated with naphthol (I) and sodium methoxide in DMF.

参考文献No.15646
标题:Process for the preparation of thiocarbamate derivs
作者:Goda, H.; Kawamura, M.; Kato, K.; Kimura, N.; Sato, M.
来源:JP 1987061967
合成路线图解说明:

This compound can be obtained by four different ways: 1) By condensation of 5,6,7,8-tetrahydro-2-naphthol (I) with N-(6-methoxy-2-pyridyl)-N-methylthiocarbamoyl chloride (II) by means of K2CO3 in refluxing butanone. 2) By condensation of 2-naphthyloxythiocarbonyl chloride (III) with 6-methoxy-2-(methylamino)pyridine (IV) by means of K2CO3 in acetone. 3) The reaction of pyridine (IV) with CS2 and NaOH in THF gives N-(6-methoxy-2-pyridyl)-N-methyldithiocarbamic acid sodium salt (V), which is then condensed with 2-(2,4-dinitrophenoxy)-5,6,7,8-tetrahydronaphthalene (VI) in DMF. 4) The reaction of the dithiocarbamate (V) with 2,4-dinitrochlorobenzene (VII) in ethanol gives N-(6-methoxy-2-pyridyl)-N-methyldithiocarbamic acid 2,4-dinitrophenyl ester (VIII), which is then treated with naphthol (I) and sodium methoxide in DMF.

参考文献No.15647
标题:Method for the preparation of high purity O-5,6,7,8- -tetrahydronaphthyl-N-methyl-N-(6-methoxy-2-pyridyl)thiocarbamate
作者:Awano, H.; Tsuzuki, K.
来源:JP 1990015065
合成路线图解说明:

This compound can be obtained by four different ways: 1) By condensation of 5,6,7,8-tetrahydro-2-naphthol (I) with N-(6-methoxy-2-pyridyl)-N-methylthiocarbamoyl chloride (II) by means of K2CO3 in refluxing butanone. 2) By condensation of 2-naphthyloxythiocarbonyl chloride (III) with 6-methoxy-2-(methylamino)pyridine (IV) by means of K2CO3 in acetone. 3) The reaction of pyridine (IV) with CS2 and NaOH in THF gives N-(6-methoxy-2-pyridyl)-N-methyldithiocarbamic acid sodium salt (V), which is then condensed with 2-(2,4-dinitrophenoxy)-5,6,7,8-tetrahydronaphthalene (VI) in DMF. 4) The reaction of the dithiocarbamate (V) with 2,4-dinitrochlorobenzene (VII) in ethanol gives N-(6-methoxy-2-pyridyl)-N-methyldithiocarbamic acid 2,4-dinitrophenyl ester (VIII), which is then treated with naphthol (I) and sodium methoxide in DMF.

参考文献No.147647
标题:Liranaftate
作者:Prous, J.; Casta馿r, J.
来源:Drugs Fut 1991,16(9),811
合成路线图解说明:

This compound can be obtained by four different ways: 1) By condensation of 5,6,7,8-tetrahydro-2-naphthol (I) with N-(6-methoxy-2-pyridyl)-N-methylthiocarbamoyl chloride (II) by means of K2CO3 in refluxing butanone. 2) By condensation of 2-naphthyloxythiocarbonyl chloride (III) with 6-methoxy-2-(methylamino)pyridine (IV) by means of K2CO3 in acetone. 3) The reaction of pyridine (IV) with CS2 and NaOH in THF gives N-(6-methoxy-2-pyridyl)-N-methyldithiocarbamic acid sodium salt (V), which is then condensed with 2-(2,4-dinitrophenoxy)-5,6,7,8-tetrahydronaphthalene (VI) in DMF. 4) The reaction of the dithiocarbamate (V) with 2,4-dinitrochlorobenzene (VII) in ethanol gives N-(6-methoxy-2-pyridyl)-N-methyldithiocarbamic acid 2,4-dinitrophenyl ester (VIII), which is then treated with naphthol (I) and sodium methoxide in DMF.

Drug Information Express,Drug R&D,Chemical Database,Patent Search.
Copyright © 2006-2026 Drug Future. All rights reserved.Contact Us