【药物名称】Tribavirin, Ribavirin, R-964, Ro-20-9963, ICN-1229, Copegus, Cotronak, Virazide, Rebetol, Viramid, Virazole
化学结构式(Chemical Structure):
参考文献No.42831
标题:1,2,4-Triazole nucleosides
作者:Laguna, N.; Robins, R.K.; Witkowski, J.T. (ICN Pharmaceuticals, Inc.)
来源:DE 2220246; US 3798209
合成路线图解说明:

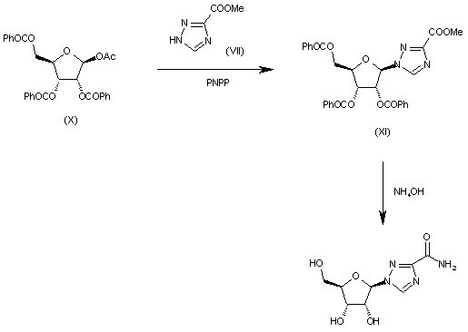
The condensation of 1-O-acetyl-2,3,5-tri-O-benzoyl-beta-D-ribofuranose (X) with 1,2,4-triazole-3-carboxylic acid methyl ester (VII) by means of PNPP at 160 C C gives 1-(2,3,5-tri-O-benzoyl-beta-D-ribofuranosyl)-1,2,4-triazole-3-carboxylic acid methyl ester (XI), which is finally treated with NH4OH in methanol.

合成路线图解说明:

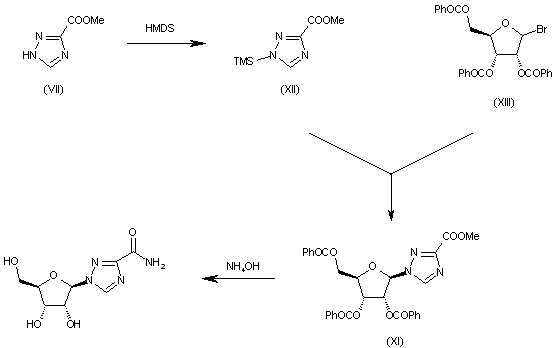
The silylation of 1,2,4-triazole-3-carboxylic acid methyl ester (VII) with hexamethyldisylazane (HMDS) gives 1-(trimethylsilyl)-1,2,4-triazole-3-carboxylic acid methyl ester (XII), which is condensed with 2,3,5-tri-O-benzoyl-beta-D-ribofuranosyl bromide (XIII) by means of PNPP at 160 C to afford the previously described intermediate 1-(2,3,5-tri-O-benzoyl-beta-D-ribofuranosyl)-1,2,4-triazole-3-carboxylic acid methyl ester (XI).

合成路线图解说明:

The condensation of 1,2,3,5-tetra-O-acetyl-beta-D-ribofuranose (XIV) with 1,2,4-triazole-3-carboxylic acid methyl ester (VII) by means of PNPP at 160 C gives 1-(2,3,5-tri-O-acetyl-beta-D-ribofuranosyl)-1,2,4-triazole-3-carboxylic acid methyl ester (XV), which is finally treated with NH4OH in methanol. The condensation of 2,3,5-tri-O-acetyl-beta-D-ribofuranosyl bromide (XVI) with 1-(trimethylsilyl)-1,2,4-triazole-3-carboxylic acid methyl ester (XII) in acetonitrile gives the previously reported intermediate 1-(2,3,5-tri-O-acetyl-beta-D-ribofuranosyl)-1,2,4-triazole-3-carboxylic acid methyl ester (XV).

合成路线图解说明:

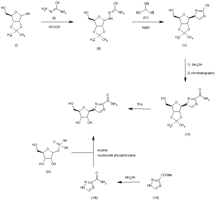
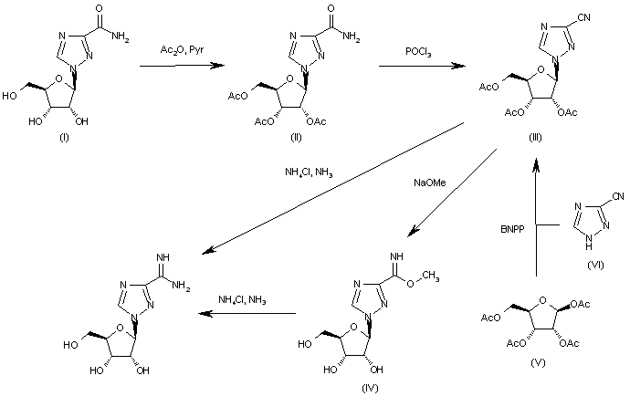
Viramidine can be synthesized by several related ways: 1) Reaction of triethyl orthoformate (I) with 1-cyanoformimidic acid hydrazide (II) by means of anhydrous HCl in dioxane gives 1,2,4-triazole-3-carbonitrile (III), which is condensed with tetra-O-acetyl-?D-ribofuranose (IV) by means of di-p-nitrophenyl phosphate (BNPP) at 150 oC to yield a mixture of the regioisomeric ribonucleosides (V) and (VI), easily separated by chromatography. Finally, the suitable regiosomer 3-cyano-1-(2,3,5-tri-O-acetyl-?D-ribofuranosyl)-1,2,4-triazole (V) is treated with anhydrous NH3 and NH4Cl at 85 oC in a pressure bomb (1, 2). 2) Alternatively, condensation of 2,3,5-tri-O-acetyl-?D-ribofuranosyl bromide (VII) with 1-(trimethylsilyl)-1,2,4-triazole-3-carbonitrile (VIII) - prepared by treatment of triazole (III) with hexamethyldisilazane in dry acetonitrile - in acetonitrile also gives the regioisomeric mixture of nucleosides (V) and (VI) (1). 3) Acylation of ribavirin (1-?D-ribofuranosyl-1,2,4-triazole-3-carboxamide) (IX) with Ac2O and pyridine gives the triacetate (X), which is dehydrated by means of POCl3 and triethylamine in chloroform to yield 3-cyano-1-(2,3,5-tri-O-acetyl-?D-ribofuranosyl)-1,2,4-triazole (V). Treatment of nucleoside (V) with NaOMe in methanol affords the methyl carboximidate (XI), which is finally treated with NH4Cl and dry NH3 gas in methanol (3).

参考文献No.42832
标题:1,2,4-Triazole-3-carboxamides as antiviral agents
作者:Witkowski, J.T.; Robins, R.K. (ICN Pharmaceuticals, Inc.)
来源:US 3976545
合成路线图解说明:

The reaction of 2,3-O-isopropylidene-D-ribofuranose (I) with cyanoformidic acid hydrazone (II) and formic acid gives N1-(2,3-O-isopropyliene-D-ribofuranosyl)formamidrazone (III), which is cyclized with triethyl orthoformate (IV) by means of bis(p-nitrophenyl)phosphate (PNPP) yielding 1-(2,3-O-isopropylidene-D-ribofuranosyl)-1,2,4-triazole-3-carbonitrile (V). The amonolysis of the nitrile group of (V) with NH4OH in refluxing ethanol affords the corresponding carboxamide as a mixture of the alpha and beta isomers that are separated by column chromatography. The desired beta isomer (VI) is finally deprotected with 80% aqueous trifluoroacetic acid. The reaction of 1,2,4-triazole-3-carboxylic acid methyl ester (VII) with aqueous NH4OH gives the corresponding amide (VIII), which is condensed with D-ribofuranose-1-phosphate (IX) by digestion with the enzyme Nucleoside Phosphorylase (purified calf spleen).

参考文献No.42833
标题:Process for preparing 1,2,4-triazole nucleosides
作者:Christensen, L.F.; Witkowski, J.T. (ICN Pharmaceuticals, Inc.)
来源:US 4138547
合成路线图解说明:

The reaction of 2,3-O-isopropylidene-D-ribofuranose (I) with cyanoformidic acid hydrazone (II) and formic acid gives N1-(2,3-O-isopropyliene-D-ribofuranosyl)formamidrazone (III), which is cyclized with triethyl orthoformate (IV) by means of bis(p-nitrophenyl)phosphate (PNPP) yielding 1-(2,3-O-isopropylidene-D-ribofuranosyl)-1,2,4-triazole-3-carbonitrile (V). The amonolysis of the nitrile group of (V) with NH4OH in refluxing ethanol affords the corresponding carboxamide as a mixture of the alpha and beta isomers that are separated by column chromatography. The desired beta isomer (VI) is finally deprotected with 80% aqueous trifluoroacetic acid. The reaction of 1,2,4-triazole-3-carboxylic acid methyl ester (VII) with aqueous NH4OH gives the corresponding amide (VIII), which is condensed with D-ribofuranose-1-phosphate (IX) by digestion with the enzyme Nucleoside Phosphorylase (purified calf spleen).

参考文献No.60449
标题:Process for the preparation of ribavirin
作者:Frigerio, M.; Banfi, A.; Dall'Oro, B.; Mancini, A. (Clariant Life Science Molecules SpA)
来源:EP 1281715; WO 0311883; WO 0311884
合成路线图解说明:

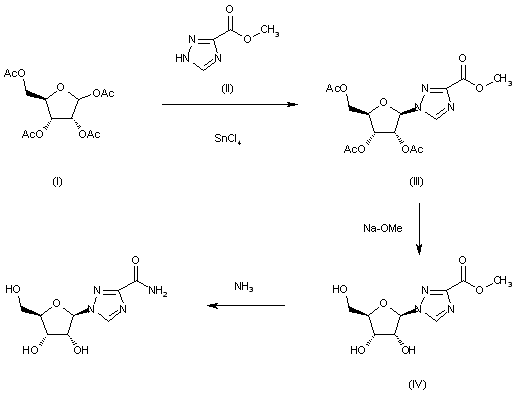
The condensation of tetraacetyl-D-ribose (I) with 1H-1,2,4-triazole-3-carboxylic acid methyl ester (II) by means of SnCl4 in refluxing dichloromethane gives -(2,3,5-tri-O-acetyl-beta-D-ribofuranosyl)-1H-1,2,4-triazole-3-carboxylic acid methyl ester (III), which is hydrolyzed by means of NaOMe in methanol to yield the deacetylated ester (IV). Finally, this compound is treated with gaseous ammonia in methanol to afford the target amide.

参考文献No.573130
标题:Design, synthesis, and broad spectrum antiviral activity of 1-beta-D-ribofuranosyl-1,2,4-triazole-3-carboxamide and related nucleosides
作者:Witkowski, J.T.; Robins, R.K.; Sidwell, R.W.; Simon, L.N.
来源:J Med Chem 1972,15(11),1150
合成路线图解说明:

The condensation of 1-O-acetyl-2,3,5-tri-O-benzoyl-beta-D-ribofuranose (X) with 1,2,4-triazole-3-carboxylic acid methyl ester (VII) by means of PNPP at 160 C C gives 1-(2,3,5-tri-O-benzoyl-beta-D-ribofuranosyl)-1,2,4-triazole-3-carboxylic acid methyl ester (XI), which is finally treated with NH4OH in methanol.

合成路线图解说明:

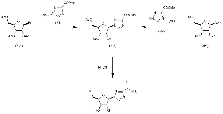
The condensation of 1,2,3,5-tetra-O-acetyl-beta-D-ribofuranose (XIV) with 1,2,4-triazole-3-carboxylic acid methyl ester (VII) by means of PNPP at 160 C gives 1-(2,3,5-tri-O-acetyl-beta-D-ribofuranosyl)-1,2,4-triazole-3-carboxylic acid methyl ester (XV), which is finally treated with NH4OH in methanol. The condensation of 2,3,5-tri-O-acetyl-beta-D-ribofuranosyl bromide (XVI) with 1-(trimethylsilyl)-1,2,4-triazole-3-carboxylic acid methyl ester (XII) in acetonitrile gives the previously reported intermediate 1-(2,3,5-tri-O-acetyl-beta-D-ribofuranosyl)-1,2,4-triazole-3-carboxylic acid methyl ester (XV).

Drug Information Express,Drug R&D,Chemical Database,Patent Search.
Copyright © 2006-2026 Drug Future. All rights reserved.Contact Us