【药物名称】Centperazine, 67/255
化学结构式(Chemical Structure):
参考文献No.130566
标题:Centperazine
作者:Arya, V.P.
来源:Drugs Fut 1980,5(5),229
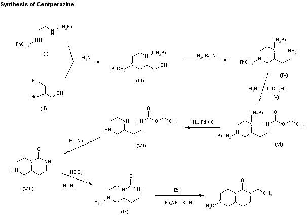
合成路线图解说明:

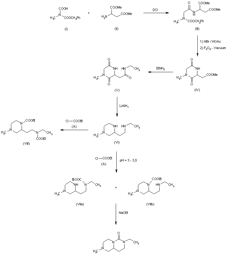
Condensation of dimethyl aspartate (II) with benzyloxy carbonyl sarcosine (I) using DCI gave dimethyl benzyloxycarbonyl sarcosylaspartate (III). Removal of benzyloxycarbonyl function from (III) by catalytic hydrogenation or HBr-AcOH followed by cyclization, effected by storage over P2O5 in vacuo for 48 h, gave methyl (1-methyl-2,5-dioxopiperazin-3-yl)acetate (IV). When (IV) was reacted with ethylamine in a sealed tube for 36 h, it yielded N-ethyl-2-(1-methyl-2,5,dioxopiperazin-3-yl)acetamide (V). The compound (V) was reduced with LiAlH4 to give 1-methyl-3-(2-ethylamino)ethylpiperazine (VI). When (VI) was condensed with ethyl chloroformate (A) at pH 3-3.5, a mixture of monocarbamates (VIIa, VIIb) were obtained. Cyclization of the monocarbamates (VIIa, VIIb) were effected by treatment with sodium ethoxide to afford 3-ethyl-8-methyl-1,3,8-triazabicyclo[4.4.0]decan-2-one (centperazine). When (VI) was reacted with ethyl chloroformate (A) in the presence of NaOC2H5 or Et3N, the dicarbamate (VIII) was formed.

参考文献No.225473
标题:A convenient synthesis of centperazine, an antifilarial candidate drug
作者:Chatterjee, S.K.; Sahu, D.P.; Sengupta, S.
来源:Liebigs Ann Chem 1993,4(4),437
合成路线图解说明:

A new synthesis of centperazine has been reported: The cyclization of N,N'-dibenzylethylenediamine (I) with 2,3-dibromopropionitrile (II) by means of triethylamine in refluxing toluene gives 2-(1,4-dibenzylpiperazin-2-yl)acetonitrile (III), which is reduced with H2 over RaNi in methanol to yield the corresponding ethylamine (IV). Acylation of (IV) with ethyl chloroformate (V) and triethylamine in dichloromethane affords the corresponding carbamate (VI), which is debenzylated by hydrogenation with H2 over Pd/C in acetic acid, giving N-[2-(2-piperazinyl)ethyl]carbamic acid ethyl ester (VII). The cyclization of (VII) by means of sodium ethoxide in hot ethanol yields perhydropyrazino[1,2-c]pyrimidin-6-one (VIII), which is methylated with formaldehyde-formic acid to the 2-methyl derivative (IX). Finally, this compound is ethylated with ethyl iodide, tetrabutylammonium bromide and KOH in THF.

参考文献No.607659
标题:Studies in potential filaricides. 5. 3-Ethyl-8-methyl-1,3,8-triazabicyclo[4.4.0]decan-2-one, a new antifilarial agent
作者:Saxena, R.; Sharma, S.D.; Iyer, R.N.; Anand, N.
来源:J Med Chem 1971,14(10),929
合成路线图解说明:

Condensation of dimethyl aspartate (II) with benzyloxy carbonyl sarcosine (I) using DCI gave dimethyl benzyloxycarbonyl sarcosylaspartate (III). Removal of benzyloxycarbonyl function from (III) by catalytic hydrogenation or HBr-AcOH followed by cyclization, effected by storage over P2O5 in vacuo for 48 h, gave methyl (1-methyl-2,5-dioxopiperazin-3-yl)acetate (IV). When (IV) was reacted with ethylamine in a sealed tube for 36 h, it yielded N-ethyl-2-(1-methyl-2,5,dioxopiperazin-3-yl)acetamide (V). The compound (V) was reduced with LiAlH4 to give 1-methyl-3-(2-ethylamino)ethylpiperazine (VI). When (VI) was condensed with ethyl chloroformate (A) at pH 3-3.5, a mixture of monocarbamates (VIIa, VIIb) were obtained. Cyclization of the monocarbamates (VIIa, VIIb) were effected by treatment with sodium ethoxide to afford 3-ethyl-8-methyl-1,3,8-triazabicyclo[4.4.0]decan-2-one (centperazine). When (VI) was reacted with ethyl chloroformate (A) in the presence of NaOC2H5 or Et3N, the dicarbamate (VIII) was formed.

Drug Information Express,Drug R&D,Chemical Database,Patent Search.
Copyright © 2006-2026 Drug Future. All rights reserved.Contact Us