【药物名称】Glipalamide, SPC-703
化学结构式(Chemical Structure):
参考文献No.130574
标题:SPC-703
作者:Kolwas, J.
来源:Drugs Fut 1981,6(4),241
合成路线图解说明:

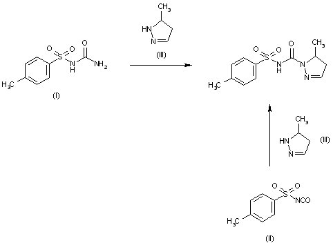
The compound is prepared by refluxing dioxane solution of p-tosylurea (I) or p-tosylisocyanate (II) with 5-methyl-2-pyrazoline (III), with or without evolution of ammonia, respectively.

参考文献No.800446
标题:O nowych polaczeniach i reakcjach sulfonamid體 z aminami. XII. Syntezy niekt髍ych pochodnych N-(benzenosulfonylo)-delta2-pirazolino-1-karbonamidu
作者:Brzozowski, Z.
来源:Acta Pol Pharm 1974,31291-299
合成路线图解说明:

The compound is prepared by refluxing dioxane solution of p-tosylurea (I) or p-tosylisocyanate (II) with 5-methyl-2-pyrazoline (III), with or without evolution of ammonia, respectively.

Drug Information Express,Drug R&D,Chemical Database,Patent Search.
Copyright © 2006-2026 Drug Future. All rights reserved.Contact Us