【药物名称】Indoramin hydrochloride, Wy-21901(free base), Doralese, Vidora, Wydora, Baratol
化学结构式(Chemical Structure):
参考文献No.201788
标题:Indoramin
作者:Sungurbey, K.; Casta馿r, J.
来源:Drugs Fut 1976,1(10),476
合成路线图解说明:

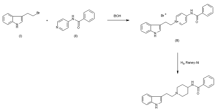
The condensation of 3-(2-bromoethyl)indole (I) with 4-benzamidopyridine (II) in refluxing ethanol gives 4-benzamido-1-[2-(3-indolyl)ethyl]pyridinium bromide (III), which is reduced with H2 and Raney-Ni in ethanol containing triethylamine.

参考文献No.701135
标题:
作者:Archibald, J.L.; Jackson, J.L.
来源:ZA 6803204
合成路线图解说明:

The condensation of 3-(2-bromoethyl)indole (I) with 4-benzamidopyridine (II) in refluxing ethanol gives 4-benzamido-1-[2-(3-indolyl)ethyl]pyridinium bromide (III), which is reduced with H2 and Raney-Ni in ethanol containing triethylamine.

Drug Information Express,Drug R&D,Chemical Database,Patent Search.
Copyright © 2006-2026 Drug Future. All rights reserved.Contact Us