【药物名称】Picumast dihydrochloride, BM-15100, Auteral
化学结构式(Chemical Structure):
参考文献No.47818
标题:Coumarin-7-yloxyalkyl piperazine compounds
作者:Witte, E.C.; et al. (Boehringer Ingelheim GmbH)
来源:DE 2123924; FR 2137731; GB 1335946; JP 58219176; US 3810898
合成路线图解说明:

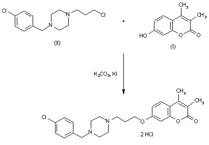
By condensation of 7-hydroxy-3,4-dimethylcoumarin (I) with 1-(3-chloropropyl)-4-(4-chlorobenzyl)piperazine (II) by means of K2CO3 and KI in refluxing butanone.

参考文献No.106626
标题:Chemical synthesis of picumast dihydrochloride
作者:Witte, E.-C.
来源:Arzneim-Forsch Drug Res 1989,39(10a),1309
合成路线图解说明:

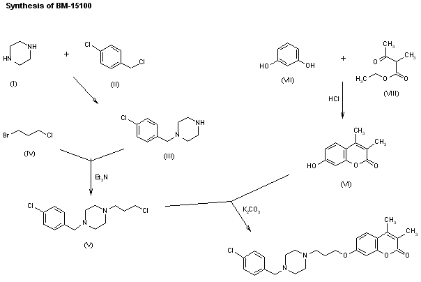
The total synthesis of picumast dihydrochloride has been described: The alkylation of piperazine (I) with 4-chlorobenzyl chloride (II) in ethanol gives 1-(4-chlorobenzyl)piperazine (III), which is alkylated again with 1-bromo-3-chloropropane (IV) by means of triethylamine in a suitable solvent to yield 1-(4-chlorobenzyl)-4-(3-chloropropyl)piperazine (V). Finally, this compound is condensed with 7-hydroxy-3,4-dimethylcoumarin (VI) by means of K2CO3 in refluxing butanone. Compound (VI) is obtained by cyclization of resorcinol (VII) with ethyl 2-methylacetoacetate (VIII) by means of refluxing acetic acid containing HCl.

参考文献No.110312
标题:BM-15100
作者:Hillier, K.; Casta馿r, J.
来源:Drugs Fut 1977,2(7),438
合成路线图解说明:

By condensation of 7-hydroxy-3,4-dimethylcoumarin (I) with 1-(3-chloropropyl)-4-(4-chlorobenzyl)piperazine (II) by means of K2CO3 and KI in refluxing butanone.

Drug Information Express,Drug R&D,Chemical Database,Patent Search.
Copyright © 2006-2026 Drug Future. All rights reserved.Contact Us