【药物名称】Adenosine, SUN-Y4001, MEDR-640, SR-96225, Adenocor, Pallacor, Adenoscan, Adenocard
化学结构式(Chemical Structure):
参考文献No.547388
标题:15N-multilabeled adenine and guanine nucleosides syntheses of [1,3,NH2-15N3]- and [2-13C-1,3NH2-15N3]-labeled adenosine, guanosine , 2'-deoxyadenosine, and 2'-deoxyguanosine
作者:Abad, J.-L.; Gaffney, B.L.; Jones, R.A.
来源:J Org Chem 1999,64(18),6575
合成路线图解说明:

The esterification of 1H-imidazole-4,5-dicarboxylic acid (I) with EtOH and sulfuric acid gives the diethyl ester (II), which is brominated with NBS in acetonitrile, yielding the 2-bromo derivative (III). The hydrolysis of (III) by means of hot aqueous Na2CO3 affords the 2-bromo-1H-imidazole-4,5-dicarboxylic acid (IV), which is diazocoupled with the labeled diazonium ion (V) to provide the monolabeled azo acid (VI). The reaction of acid (VI) with 15NH4Cl and DEC in acetonitrile gives the doubly labeled azoamide (VII), which is reduced with H2 over Pd/C in methanol to yield the doubly labeled 5-amino-1H-imidazole-4-carboxamide (VIII). The cyclization of (VIII) with sodium 13C-ethylxanthate (IX) in DMF affords the mercaptoxanthine (X), which is reduced to the hypoxanthine (XI) with Raney Ni and formic acid. The reaction of (XI) with POCl3 in hot N,N-dimethylaniline provides the triply labeled chloropurine (XII), which is submitted to enzymatic trans-glycosylation with 7-methylguanosine or thymidine and purine nucleoside phosphorylase (PNP) and thymidine phosphorylase (TP) to give the glycosylated chloropurine (XIII). Finally, this compound is treated with 15NH4Cl and KHCO3 in hot anhydrous DMSO to afford the target tetralabeled adenine nucleoside.

合成路线图解说明:

The esterification of 1H-imidazole-4,5-dicarboxylic acid (I) with EtOH and sulfuric acid gives the diethyl ester (II), which is brominated with NBS in acetonitrile, yielding the 2-bromo derivative (III). The hydrolysis of (III) by means of hot aqueous Na2CO3 affords the 2-bromo-1H-imidazole-4,5-dicarboxylic acid (IV), which is diazocoupled with the labeled diazonium ion (V) to provide the monolabeled azo acid (VI). The reaction of acid (VI) with 15NH4Cl and DEC in acetonitrile gives the doubly labeled azoamide (VII), which is reduced with H2 over Pd/C in methanol to yield the doubly labeled 5-amino-1H-imidazole-4-carboxamide (VIII). The cyclization of (VIII) with sodium ethylxanthate (IX) in DMF affords the mercaptoxanthine (X), which is reduced to the hypoxanthine (XI) with Raney Ni and formic acid. The reaction of (XI) with POCl3 in hot N,N-dimethylaniline provides the doubly labeled chloropurine (XII), which is submitted to enzymatic trans-glycosylation with 7-methylguanosine or thymidine and purine nucleoside phosphorylase (PNP) and thymidine phosphorylase (TP) to give the glycosylated chloropurine (XIII). Finally, this compound is treated with 15NH4Cl and KHCO3 in hot anhydrous DMSO to afford the target triply labeled adenine nucleoside. Alternatively, the intermediate hypoxanthine (XI) can also be obtained directly by cyclization of the doubly labeled 5-amino-1H-imidazole-4-carboxamide (VIII) with formic acid and diethoxymethyl acetate (DEMA) in DMF.

参考文献No.576770
标题:Experiments on the synthesis of purine nucleosides. Part XIX. A synthesis of adenosine
作者:Davoll, J.; et al.
来源:J Chem Soc 1948,967
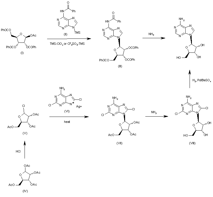
合成路线图解说明:

This compound has been obtained by two similar ways: 1) The condensation of 1-O-acetyl-2,3,5-O-tribenzoyl-beta-D-ribofuranose (I) with N6-benzoyl-9-(trimethylsilyl)adenine (II) by means of trimethylsilyl perchlorate or trimethylsilyl trifluoromethanesulfonate in dichloroethane gives the tetrabenzoyladenosine (III), which is finally debenzoylated with ammonia in methanol. 2) The reaction of tetraacetyl-D-ribofuranose (IV) with dry HCl in ethyl ether gives the 1-chloro derivative (V), which is condensed with the silver salt of 2,8-dichloroadenine (VI) in refluxing xylene yielding the acetylated dichloroadenosine (VII). The hydrolysis of (VII) with ammonia in methanol affords 2,8-dichloroadenosine (VIII), which is finally dechlorinated by hydrogenation with H2 over Pd/BaSO4 in aqueous NaOH.

参考文献No.576771
标题:New catalysts for the synthesis of nucleosides
作者:Krolikiewicz, K.; Vorbrueggen, H.
来源:Angew Chem. Int Ed Engl 1975,14(6),421
合成路线图解说明:

This compound has been obtained by two similar ways: 1) The condensation of 1-O-acetyl-2,3,5-O-tribenzoyl-beta-D-ribofuranose (I) with N6-benzoyl-9-(trimethylsilyl)adenine (II) by means of trimethylsilyl perchlorate or trimethylsilyl trifluoromethanesulfonate in dichloroethane gives the tetrabenzoyladenosine (III), which is finally debenzoylated with ammonia in methanol. 2) The reaction of tetraacetyl-D-ribofuranose (IV) with dry HCl in ethyl ether gives the 1-chloro derivative (V), which is condensed with the silver salt of 2,8-dichloroadenine (VI) in refluxing xylene yielding the acetylated dichloroadenosine (VII). The hydrolysis of (VII) with ammonia in methanol affords 2,8-dichloroadenosine (VIII), which is finally dechlorinated by hydrogenation with H2 over Pd/BaSO4 in aqueous NaOH.

Drug Information Express,Drug R&D,Chemical Database,Patent Search.
Copyright © 2006-2026 Drug Future. All rights reserved.Contact Us