【药物名称】Chlorzotocin, Chlorozotocin, NSC-178248
化学结构式(Chemical Structure):
参考文献No.900557
标题:
作者:Martinez, J.; Oiry, J.; Imbach, J.-L.; Winternitz, P.F.
来源:FR 2487343
合成路线图解说明:

The acylation of N-hydroxysuccinimide (I) with 2-chloroethyl isocyanate (II) gives N-(2-chloroethyl)carbamoyloxysuccinimide (III), which is nitrosated with NaNO2 - HCl to the corresponding N-nitroso derivative (IV). Finally this compound is allowed to react with beta-D-glucosamine (V).

参考文献No.900558
标题:
作者:Suami, T.; et al.
来源:DE 2535048
合成路线图解说明:

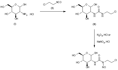
The reaction of beta-D-glucosamine (I) with 2-chloroethyl isocyanate (II) in water or DMF gives 2-[3-(2-chloroethyl)ureido]-2-deoxy-D-glucopyranose (III) (1,2), which is then nitrosated with N2O3 in concentrated HCl (1); or with NaNO2 and HCl in ethanol - water (2), or in acetic acid (3).

参考文献No.950316
标题:Synthesis of chlorozotocin, the 2-chloroethyl analog of the anticancer antibiotic streptozotocin
作者:Johnston, T.P.
来源:J Med Chem 1976,18(1),104
合成路线图解说明:

The reaction of beta-D-glucosamine (I) with 2-chloroethyl isocyanate (II) in water or DMF gives 2-[3-(2-chloroethyl)ureido]-2-deoxy-D-glucopyranose (III) (1,2), which is then nitrosated with N2O3 in concentrated HCl (1); or with NaNO2 and HCl in ethanol - water (2), or in acetic acid (3).

参考文献No.950319
标题:Simple, two step synthesis of 1-(2-chloroethyl)-1-nitroso-3-(D-gluco-2-yl) urea
作者:Burns, H.D.; Heindel, N.D.
来源:Org Prep Proced Int 1974,6(6),259
合成路线图解说明:

The reaction of beta-D-glucosamine (I) with 2-chloroethyl isocyanate (II) in water or DMF gives 2-[3-(2-chloroethyl)ureido]-2-deoxy-D-glucopyranose (III) (1,2), which is then nitrosated with N2O3 in concentrated HCl (1); or with NaNO2 and HCl in ethanol - water (2), or in acetic acid (3).

参考文献No.950323
标题:Chlorozotocin
作者:Casta馿r, J.; Hopkins, S.J.
来源:Drugs Fut 1977,2(5),291
合成路线图解说明:

The reaction of beta-D-glucosamine (I) with 2-chloroethyl isocyanate (II) in water or DMF gives 2-[3-(2-chloroethyl)ureido]-2-deoxy-D-glucopyranose (III) (1,2), which is then nitrosated with N2O3 in concentrated HCl (1); or with NaNO2 and HCl in ethanol - water (2), or in acetic acid (3).

Drug Information Express,Drug R&D,Chemical Database,Patent Search.
Copyright © 2006-2026 Drug Future. All rights reserved.Contact Us