【药物名称】Tetrahydrouridine, NSC-112907, THU
化学结构式(Chemical Structure):
参考文献No.701463
标题:
作者:Hanze, A.R.; Camiener, G.W.
来源:US 3462416
合成路线图解说明:

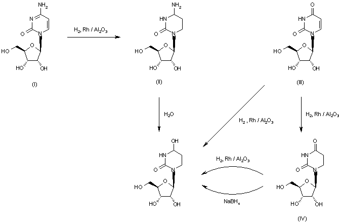
Compound can be prepared in three different ways: 1) The reduction of cytidine (I) with H2 over Rh/Al2O3 in water in a Parr apparatus at 2.8 bar gives 3,4,5,6-tetrahydrocytidine (II), which is then hydrolyzed with water at pH 5.5. 2) The reduction of uridine (III) with H2 over Rh/Al2O3 as before gives 5,6-dihydrouridine (IV), which is then reduced again with NaBH4 in water or with H2 over Rh/Al2O3 in water containing ammonia. 3) The reduction of (III) can also be performed in a single step with H2 over Rh/Al2O3 in water containing NH3, in a Parr apparatus at 2.94 bar.

参考文献No.800518
标题:Nucleic acids. IV. The catalytic reduction of pyrimidine nucleosides (human liver deaminase inhibitors)
作者:Hanze, A.R.
来源:J Am Chem Soc 1967,89(25),6720-25
合成路线图解说明:

Compound can be prepared in three different ways: 1) The reduction of cytidine (I) with H2 over Rh/Al2O3 in water in a Parr apparatus at 2.8 bar gives 3,4,5,6-tetrahydrocytidine (II), which is then hydrolyzed with water at pH 5.5. 2) The reduction of uridine (III) with H2 over Rh/Al2O3 as before gives 5,6-dihydrouridine (IV), which is then reduced again with NaBH4 in water or with H2 over Rh/Al2O3 in water containing ammonia. 3) The reduction of (III) can also be performed in a single step with H2 over Rh/Al2O3 in water containing NH3, in a Parr apparatus at 2.94 bar.

参考文献No.800519
标题:Tetrahydrouridine
作者:Woodman, R.J.
来源:Drugs Fut 1979,4(4),283
合成路线图解说明:

Compound can be prepared in three different ways: 1) The reduction of cytidine (I) with H2 over Rh/Al2O3 in water in a Parr apparatus at 2.8 bar gives 3,4,5,6-tetrahydrocytidine (II), which is then hydrolyzed with water at pH 5.5. 2) The reduction of uridine (III) with H2 over Rh/Al2O3 as before gives 5,6-dihydrouridine (IV), which is then reduced again with NaBH4 in water or with H2 over Rh/Al2O3 in water containing ammonia. 3) The reduction of (III) can also be performed in a single step with H2 over Rh/Al2O3 in water containing NH3, in a Parr apparatus at 2.94 bar.

Drug Information Express,Drug R&D,Chemical Database,Patent Search.
Copyright © 2006-2026 Drug Future. All rights reserved.Contact Us