【药物名称】Estramustine phosphate sodium, Ro-21-8837/001, Estracyt, Emcyt
化学结构式(Chemical Structure):
参考文献No.58297
标题:A selective acylation process
作者:Stamvik, A.R.; Kristensson, S.K. (Leo Pharma AB)
来源:EP 0138153
合成路线图解说明:

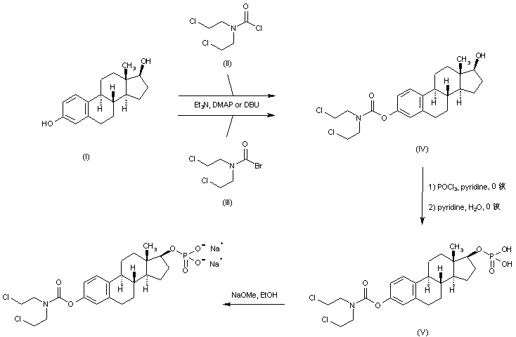
Estradiol 3-N-bis(2-chloroethyl)carbamate (IV) was prepared by treatment of estradiol (I) with either the carbamoyl chloride (II) or the carbamoyl bromide (III) in the presence of various bases such as triethylamine and DMAP or DBU. Phosphorylation of (IV) with phosphorus oxychloride and pyridine, followed by aqueous hydrolysis, produced the 17-O-phosphate ester (V). This was converted to the corresponding disodium salt by treatment with sodium methoxide.

参考文献No.58298
标题:Method for selective acylation of estradiol
作者:Ohwaki, K.; Niino, H.
来源:EP 0614909
合成路线图解说明:

Estradiol 3-N-bis(2-chloroethyl)carbamate (IV) was prepared by treatment of estradiol (I) with either the carbamoyl chloride (II) or the carbamoyl bromide (III) in the presence of various bases such as triethylamine and DMAP or DBU. Phosphorylation of (IV) with phosphorus oxychloride and pyridine, followed by aqueous hydrolysis, produced the 17-O-phosphate ester (V). This was converted to the corresponding disodium salt by treatment with sodium methoxide.

参考文献No.58299
标题:Method for purification of estramustin phosphate or salt thereof
作者:Ohwaki, K.; Niino, H.; norose, S.
来源:EP 0612760
合成路线图解说明:

Estradiol 3-N-bis(2-chloroethyl)carbamate (IV) was prepared by treatment of estradiol (I) with either the carbamoyl chloride (II) or the carbamoyl bromide (III) in the presence of various bases such as triethylamine and DMAP or DBU. Phosphorylation of (IV) with phosphorus oxychloride and pyridine, followed by aqueous hydrolysis, produced the 17-O-phosphate ester (V). This was converted to the corresponding disodium salt by treatment with sodium methoxide.

Drug Information Express,Drug R&D,Chemical Database,Patent Search.
Copyright © 2006-2026 Drug Future. All rights reserved.Contact Us