【药物名称】Nicardipine hydrochloride, TN-901, RS-69216-XX-07-O, RS-69216, YC-93, Perpidine, Nerdipine, Loxen, Antagonil, Cardene, Perdipine, Nicodel
化学结构式(Chemical Structure):
参考文献No.105639
标题:YC-93
作者:Roberts, P.J.; Casta馿r, J.
来源:Drugs Fut 1977,2(6),409
合成路线图解说明:

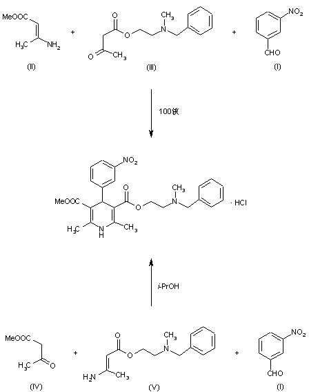
Compound can be prepared in two different ways: 1) By heating at 100 C a mixture of m-nitrobenzaldehyde (I), methyl beta-aminocrotonate (II) and N-benzyl-N-methylaminoethyl acetoacetate (III). 2) By cyclization of a mixture of m-nitrobenzaldehyde (I), methyl acetoacetate (IV) and N-benzyl-N-methylaminoethyl beta + aminocrotonate (V) in refluxing isopropanol.

参考文献No.701080
标题:
作者:Murakami, M.; et al.
来源:BE 0811324
合成路线图解说明:

Compound can be prepared in two different ways: 1) By heating at 100 C a mixture of m-nitrobenzaldehyde (I), methyl beta-aminocrotonate (II) and N-benzyl-N-methylaminoethyl acetoacetate (III). 2) By cyclization of a mixture of m-nitrobenzaldehyde (I), methyl acetoacetate (IV) and N-benzyl-N-methylaminoethyl beta + aminocrotonate (V) in refluxing isopropanol.

Drug Information Express,Drug R&D,Chemical Database,Patent Search.
Copyright © 2006-2026 Drug Future. All rights reserved.Contact Us