【药物名称】Triflusal, UR-1501, Tecnosal, Disgren
化学结构式(Chemical Structure):
参考文献No.199337
标题:Triflusal
作者:Mar韓, A.; Francia, E.; Garc韆 Rafanell, J.
来源:Drugs Fut 1978,3(3),225
合成路线图解说明:

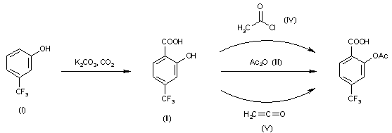
Trifluoromethylphenol (I) is converted into 2-hydroxy-4-trifluoromethylbenzoic acid (II) by treatment with potassium carbonate and carbon dioxide under pressure (Kolbe-Schmitt reaction). (II) is then converted with a suitable acetylating agent in the 2-acetoxy-4-trifluoromethylbenzoic acid (III).

参考文献No.701010
标题:4-Trifluoromethylbenzoic acid derivatives as thromboembolic agents
作者:Barra, E.F.; Mar韓, A.
来源:DE 2641556; ES 459855; FR 2354335; GB 1588633; JP 52156831; US 4096252
合成路线图解说明:

Trifluoromethylphenol (I) is converted into 2-hydroxy-4-trifluoromethylbenzoic acid (II) by treatment with potassium carbonate and carbon dioxide under pressure (Kolbe-Schmitt reaction). (II) is then converted with a suitable acetylating agent in the 2-acetoxy-4-trifluoromethylbenzoic acid (III).

Drug Information Express,Drug R&D,Chemical Database,Patent Search.
Copyright © 2006-2026 Drug Future. All rights reserved.Contact Us